Dobro skrit v tako gosti megli, da bi jo lahko rezali, leži mali ribnik.
Na prvi pogled je popolnoma vsakdanji. Če pa bi ga pogledali še enkrat, bi videli, da je pravljični …
Podatke pridobivam od vlade RS, MZ, NIJZ, NIB in @sledilnik.
Najlepša hvala!
arhiv analiz: oktober 2021 – september 2021 – avgust 2021 – julij 2021 – junij 2021 – maj 2021 – april 2021 – marec 2021 – februar 2021 – januar 2021 – december 2020 – pred decembrom 2020
Opozorilo: Vse napisano in prikazano na tej strani ter znotraj aplikacije covidSLO je plod veliko vloženega dela. Pri tem se trudim upoštevati čimveč znanstvenih dognanj in stvari predstaviti na čimbolj realen način. Je pa epidemija COVID-19 zelo kaotičen sistem, ki je odvisen od množice dejavnikov. Na svetu tako ni nikogar, ki bi lahko s 100% gotovostjo vse pravilno predvidel vnaprej, še sploh za primer Slovenije. Zato tudi jaz ne prevzemam nobene odgovornosti, če bi nekdo mojim zaključkom preveč zaupal in zaradi tega potem utrpel kakršnokoli škodo. Kot rečeno, se trudim čimbolj verno interpretirati dogajanje in pričakovanja glede epidemije v bližnji prihodnosti. Hvala za razumevanje in zaupanje!:)
avtor strani in aplikacije covidSLO: Peter Malovrh, univ. dipl. inž. el., 2020-2021
VROČE: Naloži si Windows aplikacijo covidSLO (COVID-SLOVENIJA), ki ti omogoča dinamičen pogled na epidemijo z animacijami, statistikami, HAGT kalkulatorjem, epidemiološko napovedjo, …
Časovne animacije širjenja SARS-CoV-2
Scenariji razvoja epidemije v Sloveniji
Ljudje mi znajo dati dodatno energijo:)
Moram te pohvalit, da glede na par modelov najbolj realno napoveduješ, ker zadevo gledaš najbolj celostno, z zdravo kmečko pametjo.
Hvala za pozitivno naravnane in natančne napovedi.
Pravzaprav se, gledano po posameznih dnevih, tvoja napoved za zdaj uresničuje tako dobro, da je že kičasto
Jaz vas tako rada preberem! Vse je tako simpl in realno in strokovno.
Super za trud in napovedi. Pa da vidimo kako in kaj bo.
Tako, da malo več skromnosti, več resnega dela, študiranja, analitike in manj sončenja v medijih. Tako kot dela softmarex.wordpress.com.
Hvala za vaše analize. Vedno jih z veseljem preberem, ker nudijo malo več razlage in tolažbe.
Noro, kako dobre napovedi. Ne morem verjeti da je bil res že 13.5. napisan točen datum! Bravo!!Ne vem kako nisem prej vedel za to.
Sem čakal vaše objave. Realno razmišljanje je potrebno. Ne pa pretiravanje v ekstreme kot počnejo nekateri tu gor.
Če se ne motim vas tu kar nekaj časa ni bilo na spregled – še dobro da imamo covidslo.net:)
Pa še to – pohvale za Vašo analitiko in napovedi. Super!
Hvala za to razumljivo, prepričljivo optimistično komentiranje.
Hvala za vašo požrtvovalnost, delavnost, doslednost in vztrajnost pri modeliranju epidemije!
novo 29.7.2021: Določanje skupne imunosti na osnovi števila cepljenih in ocene števila prebolelih …
novo 3.8.2021: Določanje števila neimunih po rizičnih starostnih skupinah na osnovi števila cepljenih in ocene števila prebolelih …
novo 7.8.2021: Določanje prekuženosti v aplikaciji covidSLO …
Za kontrolo predlagam obisk sorodne modelarske strani, kjer so zelo uspešno modelirali 4. (delta) val, in imajo zelo uravnotežene predloge glede načina spopadanja z epidemijo.
sreda 1.12.2021
Povzetek dnevne analize:
epidemija je od 6.11. naprej počasi padala, zdaj pada hitro, razlog v hitrem zmanjševanju bazena dovzetnih zaradi prekuževanja in dvigovanja učinkovitosti zaščite od cepljenja s 3. odmerki
efekt končanja počitnic ne bo bistven, tudi zaradi PCT v šolah (upoštevan v projekcijah), ljudje se zdaj sami bolj zaščitno obnašajo, nekaj dodaja vreme
vreme je oktobra pokazalo veliko več moči od pričakovanega + premaknilo druženja v notranje prostore, AY podvariante delte pri nas baje še niso kaj dosti v igri
v igro prihaja varianta omikron iz Botswane/Južne Afrike, tudi Slovenija je že zaprla meje za potnike od tam, verjetno ga imamo tudi že mi, zaenkrat ni razlogov za kakšno paniko
R=0.73, izgledi so zelo rahlo upadanje, trenutni razpolovni čas novih primerov je 15 dni
bazen ljudi brez vsakršne imunosti (naive) okoli 13%, a zaradi popuščanja zaščite po cepljenju trenutno vseeno dovzetnih (susceptible) okoli 23%
povprečje javljenih primerov zadnjih 7 dni je 2072 (vmesni max je bil 17.9. pri 1045), NIJZ s korekcijami za nazaj 2063
2/1 SLO/EU zelenih občin, 2/1/0 občin brez primerov že vsaj 1/2/4 tedne
dosežena splošna skupna (kakršnakoli) imunost (upoštevani prekuženost in precepljenost, ter njun presek): 87.3% (popuščanje zaščite ni zajeto)
P ali C (ali oboje) starostnih skupin: 60-64: 100%, 65-69: 100%, 70-74: 100%, 75-79: 100%, 80-84: 100%, 85-89: 100%; 90+: 100%
dejanska trenutna imunost starostnih skupin: 60-64: 85%, 65-69: 87%, 70-74: 89%, 75-79: 89%, 80-84: 89%, 85-89: 88%; 90+: 88%
število novih sprejemov v bolnišnice je čez vrh 109 13.11. in je nekje na nivoju 80-85/dan
smrti so imele prvi vrh 24.9. pri 6/dan, po 14.10. so nenavadno porasle, trenutno jih je v povprečju 20/dan, to je vrh, sedaj postopen upad.
napoved okužb (tekoče 7d povprečje): imeli smo vmesni vrh 14.9. pri povprečno 1045 primerih dnevno, in glavni vrh 3338 6.11.2021, zdaj hitro padajo, t/2 15 dni
napoved hospitaliziranih: kot kaže je imel prvi vrh plato pri dobrih 400, potem rast in zdaj smo verjetno preko vrha 1168 23.11.
napoved ICU: očitno v skladu z napovedjo res ne bomo šli preko 300, vrh je bil izgleda 265.11. pri 289 (ležalne dobe so se daljšale, odpusti so zaostajali), nazaj pod 200 do sredine decembra
napoved umrlih: 1300 (815 od tega jih je že bilo), po 4. valu skupno okoli 5750
napoved izpolnitve kriterijev za EU-rdečo: 26. december 2021

Z epidemiološkim modelom v aplikaciji covidSLO modeliram dodatni zimski dvig R za 0.1 zaradi ohladitve po 26.1. Poleg tega modeliram tudi novoletni porast R za 0.20 in potem še njegov padec nazaj za 0.15. Štartam s trenutno izmerjenim R, upoštevana trenutna povprečna učinkovitost cepiva (učinkovitost zaščite posameznega cepljenja s časom upada) je iz 50% v sredini novembra zdaj zaradi 3. odmerkov narasla na 58%.




Laboratoriji so tokrat zmogli več od povprečno 7-8000 PCR testov dnevno! Bravo!


Epidemija hitro upada, R pada in je že v okolici 0.75 s srednjeročnimi izgledi proti 0.72.
Prekuževanje še vedno poteka hitro. R se bo zelo težko kaj bistveno dvignil. Prehajamo sicer v najhladnejši del leta in več delcev z virusi bo ostajalo v zraku, a nekega dodatnega velikega dviga R to ne more prinesti, malo pa verjetno ja. Omeniti je treba še to, da se zaradi trenutne situacije tudi ljudje sami obnašajo nekoliko bolj zaščitno, to pa spet znižuje R.
Že od 14.11. sem pisal, da sem optimist, da bo R v kratkem 0.95. Očtno sem imel glede tega dober občutek:) Potem je R hitro padel. Vse bolj realna je možnost, da bi EU-rdečo fazo dosegli že za Božič. Najslabši možni scenarij bi bil, da se to potegne še za en dodaten teden, slabše od tega pa bi si upal garantirati, da ne bo.

Vreme (rumena krivulja) v povprečju vse bolj deluje v smeri povečevanja R (pričakovano). Prehajamo v najhladnejši del leta in več delcev z virusi bo ostajalo v zraku. Vreme tako deluje v smeri povečevanja R, a ta sila ni prav zelo močna in ni pričakovati nekega pomembnejšega dvigovanja R iz tega naslova, morda največ le zadrževanje R na nivoju okoli 0.75-0.80 za teden ali dva.

Hospitalizacije so po vmesnem platoju pri 400 hospitaliziranih ponovno naraščale, rast se je zaustavila, in predvidoma je bil vrh 23.11. pri 1168 hospitaliziranih.
Povprečno dnevno število umrlih je bilo po prvem vrhu pri 6.5/dan v zadnjem tednu septembra in v prvem tednu oktobra okoli 5/dan, potem pa v drugem tednu oktobra celo 3.5/dan. Nato je še pred pričetkom ponovne rasti sprejemov pričelo samo od sebe naraščati proti 9/dan. Vzrok za tak porast ni jasen, verjetno je šlo za neko statistično prekladanje podatkov med NIJZ in MZ, ali pa morda za preventivno čuvanje ICU postelj (delež ICU je padal), ne vem.
Dnevno število smrti je proti sedanjemu vrhu postopoma naraščalo. Zdaj je vrh pri povprečnem nivoju okoli 19/dan. Rizične skupine so zdaj res dobro imunizirane, popušča pa zaščita po cepljenju tistim prvim cepljenim v prvih letošnjih mesecih – teh je baje zato zdaj že kar nekaj v bolnišnicah, čeprav pogled okužb po starostnih skupinah pokaže, da recimo skupina 85+ ni nič kaj “podivjala” (pozor: po 21.11. se je edino tej skupini padanje primerov zaustavljalo, a zdaj spet pada). Kar nekaj je tudi imunsko oslabljenih bolnikov.
Velikostni razred števila smrti med neimunimi v 4. valu je že dolgo vnaprej določen za 500-700 (morda podcenjeno za par 100?), a popuščanje zaščite in imunokompromitirani tu niso bili všteti. Zaščitenost od cepljenja je že popustila, in vsi se ne bodo takoj cepili s 3. odmerkom – zato bo večje, zdaj izgleda okoli 1300.

Med sprejetimi v ICU delež cepljenih ni narastel nad 30%, kar me je rahlo presenečalo. Zdaj je spet nazaj na 30% in bomo videli … Zaradi poživitvenih odmerkov cepiva se naša trenutna povprečna učinkovitost zaščite od cepljenja že polagoma dviga.
Primer iz sredine novembra 2021: 30% delež cepljenih od 80% cepljene rizične populacije da proti 70% deležu necepljenih v ICU od 20% necepljene rizične populacije (80/30)/(20/70)=9.33x boljšo zaščito cepljenih od necepljenih pred ICU obravnavo. Oziroma našo trenutno 1-1/9.33=89% učinkovitost cepiva pred ICU obravnavo.

Naš trenutni povprečni faktor boljše zaščite cepljenega od necepljenega za pristanek v ICU/EIT/EIZ je sčasoma padal, in je konec oktobra znašal le okoli 7. Potem je naraščal, trenutno je okoli 8. Za posameznika je kmalu po cepljenju z 2. ali 3. odmerkom ta faktor še bistveno višji.
Pri tveganju za okužbo in hospitalizacijo se faktor v zadnjem času zaradi tretjih odmerkov povečuje.


sreda 1.12.2021 ob 00:45 … preview: (zaenkrat samo pogled na včeraj izdane TAN kode – 2117 kod (870 manj kot prejšnji torek!), izgleda bo okoli 2250/6800 …)

sreda 1.12.2021 ob 00:45 … preview: (zaenkrat samo pogled na včeraj izdane TAN kode – 2117 kod (870 manj kot prejšnji torek!), izgleda bo okoli 2250/6800 …)

torek 30.11.2021
Povzetek dnevne analize:
epidemija je od 6.11. naprej počasi padala, zdaj pada hitro, razlog v hitrem zmanjševanju bazena dovzetnih zaradi prekuževanja in dvigovanja učinkovitosti zaščite od cepljenja s 3. odmerki
efekt končanja počitnic ne bo bistven, tudi zaradi PCT v šolah (upoštevan v projekcijah), ljudje se zdaj sami bolj zaščitno obnašajo, nekaj dodaja vreme
vreme je oktobra pokazalo veliko več moči od pričakovanega + premaknilo druženja v notranje prostore, AY podvariante delte pri nas baje še niso kaj dosti v igri
v igro prihaja varianta omikron iz Botswane/Južne Afrike, tudi Slovenija je že zaprla meje za potnike od tam, verjetno ga imamo tudi že mi, zaenkrat ni razlogov za kakšno paniko
R=0.74, izgledi so zelo rahlo upadanje, trenutni razpolovni čas novih primerov je 16 dni
bazen ljudi brez vsakršne imunosti (naive) okoli 13%, a zaradi popuščanja zaščite po cepljenju trenutno vseeno dovzetnih (susceptible) okoli 24%
povprečje javljenih primerov zadnjih 7 dni je 2199 (vmesni max je bil 17.9. pri 1045), NIJZ s korekcijami za nazaj 2189
2/1 SLO/EU zelenih občin, 2/1/0 občin brez primerov že vsaj 1/2/4 tedne
dosežena splošna skupna (kakršnakoli) imunost (upoštevani prekuženost in precepljenost, ter njun presek): 87.1% (popuščanje zaščite ni zajeto)
P ali C (ali oboje) starostnih skupin: 60-64: 100%, 65-69: 100%, 70-74: 100%, 75-79: 100%, 80-84: 100%, 85-89: 100%; 90+: 100%
dejanska trenutna imunost starostnih skupin: 60-64: 84%, 65-69: 86%, 70-74: 89%, 75-79: 88%, 80-84: 88%, 85-89: 88%; 90+: 88%
število novih sprejemov v bolnišnice je čez vrh 109 13.11. in je nekje na nivoju 92/dan
smrti so imele prvi vrh 24.9. pri 6/dan, po 14.10. so nenavadno porasle, trenutno jih je v povprečju 20/dan, to je vrh, sedaj postopen upad.
napoved okužb (tekoče 7d povprečje): imeli smo vmesni vrh 14.9. pri povprečno 1045 primerih dnevno, in glavni vrh 3338 6.11.2021, zdaj hitro padajo, t/2 16 dni
napoved hospitaliziranih: kot kaže je imel prvi vrh plato pri dobrih 400, potem rast in zdaj smo verjetno preko vrha 1168 23.11.
napoved ICU: očitno v skladu z napovedjo res ne bomo šli preko 300, vrh je bil izgleda 265.11. pri 289 (ležalne dobe so se daljšale, odpusti so zaostajali), nazaj pod 200 do sredine decembra
napoved umrlih: 1400 (680 od tega jih je že bilo), po 4. valu skupno okoli 6000
napoved izpolnitve kriterijev za EU-rdečo: 26. december 2021

Z epidemiološkim modelom v aplikaciji covidSLO modeliram dodatni zimski dvig R za 0.1 zaradi ohladitve po 26.1. Poleg tega modeliram tudi novoletni porast R za 0.20 in potem še njegov padec nazaj za 0.15. Štartam s trenutno izmerjenim R, upoštevana trenutna povprečna učinkovitost cepiva (učinkovitost zaščite posameznega cepljenja s časom upada) je iz 50% v sredini novembra zdaj zaradi 3. odmerkov narasla na 58%.



Epidemija je v 4. valu približno na istem nivoju, kot je bila lani v 2. valu. Dejansko okuženih je približno enako. Je pa zdaj veliko manj hospitalizacij in smrti, kar gre pripisati cepljenju.


Laboratoriji so tokrat zmogli več od povprečno 7-8000 PCR testov dnevno! Bravo!


Epidemija hitro upada, R pada in je že v okolici 0.75 s srednjeročnimi izgledi proti 0.72.
Prekuževanje še vedno poteka hitro. R se bo zelo težko kaj bistveno dvignil. Prehajamo sicer v najhladnejši del leta in več delcev z virusi bo ostajalo v zraku, a nekega dodatnega velikega dviga R to ne more prinesti, malo pa verjetno ja. Omeniti je treba še to, da se zaradi trenutne situacije tudi ljudje sami obnašajo nekoliko bolj zaščitno, to pa spet znižuje R.
Že od 14.11. sem pisal, da sem optimist, da bo R v kratkem 0.95. Očtno sem imel glede tega dober občutek:) Potem je R hitro padel. Vse bolj realna je možnost, da bi EU-rdečo fazo dosegli že za Božič.
Najslabši možni scenarij bi bil, da se to potegne še za en dodaten teden, slabše od tega pa bi si upal garantirati, da ne bo.

Vreme (rumena krivulja) v povprečju vse bolj deluje v smeri povečevanja R (pričakovano). Prehajamo v najhladnejši del leta in več delcev z virusi bo ostajalo v zraku. Vreme tako deluje v smeri povečevanja R, a ta sila ni prav zelo močna in ni pričakovati nekega pomembnejšega dvigovanja R iz tega naslova, morda največ le zadrževanje R na nivoju okoli 0.75-0.80 za teden ali dva.

Hospitalizacije so po vmesnem platoju pri 400 hospitaliziranih ponovno naraščale, rast se je zaustavila, in predvidoma je bil vrh 23.11. pri 1168 hospitaliziranih.
Povprečno dnevno število umrlih je bilo po prvem vrhu pri 6.5/dan v zadnjem tednu septembra in v prvem tednu oktobra okoli 5/dan, potem pa v drugem tednu oktobra celo 3.5/dan. Nato je še pred pričetkom ponovne rasti sprejemov pričelo samo od sebe naraščati proti 9/dan. Vzrok za tak porast ni jasen, verjetno je šlo za neko statistično prekladanje podatkov med NIJZ in MZ, ali pa morda za preventivno čuvanje ICU postelj (delež ICU je padal), ne vem.
Dnevno število smrti je proti sedanjemu vrhu postopoma naraščalo. Zdaj je vrh pri povprečnem nivoju okoli 19/dan. Rizične skupine so zdaj res dobro imunizirane, popušča pa zaščita po cepljenju tistim prvim cepljenim v prvih letošnjih mesecih – teh je baje zato zdaj že kar nekaj v bolnišnicah, čeprav pogled okužb po starostnih skupinah pokaže, da recimo skupina 85+ ni nič kaj “podivjala” (pozor: po 21.11. se je edino tej skupini padanje primerov zaustavljalo, a zdaj spet pada). Kar nekaj je tudi imunsko oslabljenih bolnikov.
Velikostni razred števila smrti med neimunimi v 4. valu je že dolgo vnaprej določen za 500-700 (morda podcenjeno za par 100?), a popuščanje zaščite in imunokompromitirani tu niso bili všteti. Zaščitenost od cepljenja je že popustila, in vsi se ne bodo takoj cepili s 3. odmerkom – zato bo večje, zdaj izgleda okoli 1300.

Med sprejetimi v ICU delež cepljenih ni narastel nad 30%, kar me je rahlo presenečalo. Zdaj je spet nazaj na 30% in bomo videli … Zaradi poživitvenih odmerkov cepiva se naša trenutna povprečna učinkovitost zaščite od cepljenja že polagoma dviga.
Primer iz sredine novembra 2021: 30% delež cepljenih od 80% cepljene rizične populacije da proti 70% deležu necepljenih v ICU od 20% necepljene rizične populacije (80/30)/(20/70)=9.33x boljšo zaščito cepljenih od necepljenih pred ICU obravnavo. Oziroma našo trenutno 1-1/9.33=89% učinkovitost cepiva pred ICU obravnavo.

Naš trenutni povprečni faktor boljše zaščite cepljenega od necepljenega za pristanek v ICU/EIT/EIZ je sčasoma padal, in je konec oktobra znašal le okoli 7. Potem je naraščal, trenutno je okoli 8. Za posameznika je kmalu po cepljenju z 2. ali 3. odmerkom ta faktor še bistveno višji.
Pri tveganju za okužbo in hospitalizacijo se faktor v zadnjem času zaradi tretjih odmerkov povečuje.








Vse nižje starostne skupine imajo lepo padanje z okoli 25% tedenskimi padci novih primerov.

Če pogledamo višje starostne skupine, imajo vse lepo padanje s po 25% padci tedensko.
Skupina 85+ (zaenkrat) nima neke posebne rasti, ki bi jo lahko pripisali popuščanju zaščite od cepljenja.


Na spodnjem diagramu celotnega poteka epidemije po starostnih skupinah je lepo vidno, kako je cepljenje v višjih starostnih skupinah preprečilo ponovitev lanske grozljive porazdelitve okužb, ki je imela za posledico veliko hospitalizacij in tudi smrti …

torek 30.11.2021 ob 01:10 … preview: (zaenkrat samo pogled na včeraj izdane TAN kode – 2189 kod (716 manj kot prejšnjo ponedeljek!), izgleda bo okoli 2550/5900 …)

ponedeljek 29.11.2021
Povzetek dnevne analize:
epidemija je od 6.11. naprej počasi padala, zdaj pada hitro
efekt končanja počitnic ne bo bistven, tudi zaradi PCT v šolah (upoštevan v projekcijah), ljudje se zdaj sami bolj zaščitno obnašajo, nekaj dodaja vreme
vreme je oktobra pokazalo veliko več moči od pričakovanega + premaknilo druženja v notranje prostore, AY podvariante delte pri nas baje še niso kaj dosti v igri
v igro prihaja varianta omikron iz Botswane/Južne Afrike, tudi Slovenija je že zaprla meje za potnike od tam, verjetno jo imamo tudi že mi
R=0.75, vreme/šole/službe/univerze ga povečujejo, sprotna imunizacja deluje v nasprotno smer
bazen ljudi brez vsakršne imunosti (naive) okoli 13%, a zaradi popuščanja zaščite po cepljenju trenutno vseeno dovzetnih (susceptible) okoli 24%
povprečje javljenih primerov zadnjih 7 dni je 2329 (vmesni max je bil 17.9. pri 1045), NIJZ s korekcijami za nazaj 2318
1/1 SLO/EU zelenih občin, 1/1/0 občin brez primerov že vsaj 1/2/4 tedne
dosežena splošna skupna (kakršnakoli) imunost (upoštevani prekuženost in precepljenost, ter njun presek): 86.9% (popuščanje zaščite ni zajeto)
P ali C (ali oboje) starostnih skupin: 60-64: 100%, 65-69: 100%, 70-74: 100%, 75-79: 100%, 80-84: 100%, 85-89: 100%; 90+: 100%
dejanska trenutna imunost starostnih skupin: 60-64: 84%, 65-69: 86%, 70-74: 88%, 75-79: 88%, 80-84: 88%, 85-89: 88%; 90+: 87%
število novih sprejemov v bolnišnice je čez vrh 109 13.11. in je nekje na nivoju 92/dan
smrti so imele prvi vrh 24.9. pri 6/dan, po 14.10. so nenavadno porasle, trenutno jih je v povprečju 20/dan, rahla rast nekje do 30.11.
napoved okužb (tekoče 7d povprečje): imeli smo vmesni vrh 14.9. pri povprečno 1045 primerih dnevno, in glavni vrh 3338 6.11.2021, zdaj hitro padajo, t/2 17 dni
napoved hospitaliziranih: kot kaže je imel prvi vrh plato pri dobrih 400, potem rast in zdaj smo verjetno preko vrha 1168 23.11.
napoved ICU: očitno v skladu z napovedjo res ne bomo šli preko 300, vrh je bil izgleda 265.11. pri 289 (ležalne dobe so se daljšale, odpusti so zaostajali), nazaj pod 200 do sredine decembra
napoved umrlih: 1400 (680 od tega jih je že bilo), po 4. valu skupno okoli 6000
napoved izpolnitve kriterijev za EU-rdečo: 25. december 2021

Z epidemiološkim modelom v aplikaciji covidSLO poskušam modelirati situacijo, ko nam je R zaradi počitnic postopoma padel za neko vrednost, z zamikom dveh tednov pa se po koncu njih vrne za nekaj manjšo vrednost nazaj navzgor. Nazaj nekaj manj, ker se bo vmes bazen dovzetnih še nekoliko zmanjšal. Poleg tega modeliram tudi novoletni porast R za 0.20 in potem še njegov padec nazaj za 0.15. Štartam s trenutno izmerjenim R, upoštevana trenutna povprečna učinkovitost cepiva (učinkovitost zaščite posameznega cepljenja s časom upada) je iz 50% v sredini novembra zdaj zaradi 3. odmerkov narasla na 58%.



Epidemija je v 4. valu približno na istem nivoju, kot je bila lani v 2. valu. Dejansko okuženih je približno enako. Je pa zdaj veliko manj hospitalizacij in smrti, kar gre pripisati cepljenju.


ponedeljek 29.11.2021 ob 03:00 … preview: (zaenkrat samo pogled na včeraj izdane TAN kode – 951 kod (385 manj kot prejšnjo nedeljo!), izgleda bo okoli 1000/2100 …)

nedelja 28.11.2021
Povzetek dnevne analize:
epidemija je od 6.11. naprej počasi padala, zdaj pada hitro, obeti za R <0.75
efekt končanja počitnic ne bo bistven, tudi zaradi PCT v šolah (upoštevan v projekcijah), ljudje se zdaj sami bolj zaščitno obnašajo, nekaj dodaja vreme
vreme je oktobra pokazalo veliko več moči od pričakovanega + premaknilo druženja v notranje prostore, AY podvariante delte pri nas baje še niso kaj dosti v igri
v igro prihaja varianta omikron iz Botswane/Južne Afrike, tudi Slovenija je že zaprla meje za potnike od tam
R=0.75, vreme/šole/službe/univerze ga povečujejo, sprotna imunizacja deluje v nasprotno smer
bazen ljudi brez vsakršne imunosti (naive) okoli 13%, a zaradi popuščanja zaščite po cepljenju trenutno vseeno dovzetnih (susceptible) okoli 24%
povprečje javljenih primerov zadnjih 7 dni je 2380 (vmesni max je bil 17.9. pri 1045), NIJZ s korekcijami za nazaj 2369
1/1 SLO/EU zelenih občin, 1/1/0 občin brez primerov že vsaj 1/2/4 tedne
dosežena splošna skupna (kakršnakoli) imunost (upoštevani prekuženost in precepljenost, ter njun presek): 86.8% (popuščanje zaščite ni zajeto)
P ali C (ali oboje) starostnih skupin: 60-64: 100%, 65-69: 100%, 70-74: 100%, 75-79: 100%, 80-84: 100%, 85-89: 100%; 90+: 100%
dejanska trenutna imunost starostnih skupin: 60-64: 84%, 65-69: 86%, 70-74: 88%, 75-79: 88%, 80-84: 88%, 85-89: 87%; 90+: 87%
število novih sprejemov v bolnišnice je čez vrh 109 13.11. in je nekje na nivoju 92/dan
smrti so imele prvi vrh 24.9. pri 6/dan, po 14.10. so nenavadno porasle, trenutno jih je v povprečju 20/dan, rahla rast nekje do 30.11.
napoved okužb (tekoče 7d povprečje): imeli smo vmesni vrh 14.9. pri povprečno 1045 primerih dnevno, in glavni vrh 3338 6.11.2021, zdaj hitro padajo, t/2 17 dni
napoved hospitaliziranih: kot kaže je imel prvi vrh plato pri dobrih 400, potem rast in zdaj smo verjetno preko vrha 1168 23.11.
napoved ICU: vrh proti koncu novembra pri okoli 290 (ležalne dobe so se daljšale, odpusti so zaostajali), nazaj pod 200 do sredine decembra
napoved umrlih: 1400 (680 od tega jih je že bilo), po 4. valu skupno okoli 6000
napoved izpolnitve kriterijev za EU-rdečo: 23. december 2021

Z epidemiološkim modelom v aplikaciji covidSLO poskušam modelirati situacijo, ko nam je R zaradi počitnic postopoma padel za neko vrednost, z zamikom dveh tednov pa se po koncu njih vrne za nekaj manjšo vrednost nazaj navzgor. Nazaj nekaj manj, ker se bo vmes bazen dovzetnih še nekoliko zmanjšal. Poleg tega modeliram tudi novoletni porast R za 0.20 in potem še njegov padec nazaj za 0.15. Štartam s trenutno izmerjenim R, upoštevana trenutna povprečna učinkovitost cepiva (učinkovitost zaščite posameznega cepljenja s časom upada) je iz 50% v sredini novembra zdaj zaradi 3. odmerkov narasla na 58%.



Epidemija je v 4. valu približno na istem nivoju, kot je bila lani v 2. valu. Dejansko okuženih je približno enako. Je pa zdaj veliko manj hospitalizacij in smrti, kar gre pripisati cepljenju.

V skupini 5-14 let je vidno zaključevanje porasta pozitivnih primerov, kar je bilo zaradi več testiranja in kot zapoznela posledica konca počitnic.

nedelja 28.11.2021 ob 00:55 … preview: (zaenkrat samo pogled na včeraj izdane TAN kode – 1440 kod (705 manj kot prejšnjo soboto!), izgleda bo okoli 1550/3400 …)


sobota 27.11.2021
Povzetek dnevne analize:
epidemija je od 6.11. naprej počasi padala, zdaj pada hitro, obeti za R <0.75
efekt končanja počitnic ne bo bistven, tudi zaradi PCT v šolah (upoštevan v projekcijah), ljudje se zdaj sami bolj zaščitno obnašajo, nekaj dodaja vreme
vreme je oktobra pokazalo veliko več moči od pričakovanega + premaknilo druženja v notranje prostore, AY podvariante delte pri nas baje še niso kaj dosti v igri
v igro prihaja varianta omikron iz Botswane/Južne Afrike, tudi Slovenija je že zaprla meje za potnike od tam
R=0.79, vreme/šole/službe/univerze ga povečujejo, sprotna imunizacja deluje v nasprotno smer
bazen ljudi brez vsakršne imunosti (naive) okoli 12%, a zaradi popuščanja zaščite po cepljenju trenutno vseeno dovzetnih (susceptible) okoli 26%
povprečje javljenih primerov zadnjih 7 dni je 2489 (vmesni max je bil 17.9. pri 1045), NIJZ s korekcijami za nazaj 2478
1/1 SLO/EU zelenih občin, 1/1/0 občin brez primerov že vsaj 1/2/4 tedne
dosežena splošna skupna (kakršnakoli) imunost (upoštevani prekuženost in precepljenost, ter njun presek): 86.7% (popuščanje zaščite ni zajeto)
P ali C (ali oboje) starostnih skupin: 60-64: 99%, 65-69: 100%, 70-74: 100%, 75-79: 100%, 80-84: 100%, 85-89: 100%; 90+: 100%
dejanska trenutna imunost starostnih skupin: 60-64: 81%, 65-69: 83%, 70-74: 85%, 75-79: 84%, 80-84: 84%, 85-89: 84%; 90+: 84%
število novih sprejemov v bolnišnice je čez vrh 109 13.11. in je nekje na nivoju 92/dan
smrti so imele prvi vrh 24.9. pri 6/dan, po 14.10. so nenavadno porasle, trenutno jih je v povprečju 20/dan, rahla rast nekje do 30.11.
napoved okužb (tekoče 7d povprečje): imeli smo vmesni vrh 14.9. pri povprečno 1045 primerih dnevno, in glavni vrh 3338 6.11.2021, zdaj hitro padajo, t/2 20 dni
napoved hospitaliziranih: kot kaže je imel prvi vrh plato pri dobrih 400, potem rast in zdaj smo verjetno prko vrha 1168 23.11.
napoved ICU: vrh proti koncu novembra pri okoli 290 (ležalne dobe se daljšajo, odpusti zaostajajo), nazaj pod 200 do sredine decembra
napoved umrlih: 1400 (680 od tega jih je že bilo), po 4. valu skupno okoli 6000
napoved izpolnitve kriterijev za EU-rdečo: 27. december 2021

Z epidemiološkim modelom v aplikaciji covidSLO poskušam modelirati situacijo, ko nam je R zaradi počitnic postopoma padel za neko vrednost, z zamikom dveh tednov pa se po koncu njih vrne za nekaj manjšo vrednost nazaj navzgor. Nazaj nekaj manj, ker se bo vmes bazen dovzetnih še nekoliko zmanjšal. Poleg tega modeliram tudi novoletni porast R za 0.20 in potem še njegov padec nazaj za 0.15. Štartam s trenutno izmerjenim R, upoštevana trenutna povprečna učinkovitost cepiva (učinkovitost zaščite posameznega cepljenja s časom upada) je 50%.



Epidemija je v 4. valu približno na istem nivoju, kot je bila lani v 2. valu. Dejansko okuženih je približno enako. Je pa zdaj veliko manj hospitalizacij in smrti, kar gre pripisati cepljenju.

V skupini 5-14 let je vidno zaključevanje porasta pozitivnih primerov, kar je bilo zaradi več testiranja in kot zapoznela posledica konca počitnic.

Laboratoriji so tokrat zmogli več od povprečno 7-8000 PCR testov dnevno! Bravo!


Epidemija hitro upada, R pada in je že pod 0.80.
Prekuževanje še vedno poteka hitro. R se bo zelo težko kaj bistveno dvignil. Prehajamo sicer v najhladnejši del leta in več delcev z virusi bo ostajalo v zraku, a nekega dodatnega velikega dviga R to ne more prinesti, malo pa verjetno ja. Omeniti je treba še to, da se zaradi trenutne situacije tudi ljudje sami obnašajo nekoliko bolj zaščitno, to pa spet znižuje R.
Že od 14.11. sem pisal, da sem optimist, da bo R v kratkem 0.95. Očtno sem imel glede tega dober občutek:) Zdaj R jasno pada (to vidijo vsi) in se vidi, da zdaj gre celo proti 0.75. Očitno imamo že tisto hitrejš padanje epidemije in vse bolj realna je možnost, da bi EU-rdečo fazo dosegli že med novoletnimi prazniki. Najslabši možni scenarij bi bil, da se to potegne še za en dodaten teden, slabše od tega pa bi si upal garantirati, da ne bo.

Vreme (rumena krivulja) v povprečju vse bolj deluje v smeri povečevanja R (pričakovano). Prehajamo v najhladnejši del leta in več delcev z virusi bo ostajalo v zraku. Vreme tako deluje v smeri povečevanja R, a ta sila ni prav zelo močna in ni pričakovati nekega pomembnejšega dvigovanja R iz tega naslova, morda največ le zadrževanje R na nivoju okoli 0.75-0.80 za teden ali dva.

Hospitalizacije so po vmesnem platoju pri 400 hospitaliziranih ponovno naraščale, rast se je zaustavila, in predvidoma je bil vrh 23.11. pri 1168 hospitaliziranih.
Povprečno dnevno število umrlih je bilo po prvem vrhu pri 6.5/dan v zadnjem tednu septembra in v prvem tednu oktobra okoli 5/dan, potem pa v drugem tednu oktobra celo 3.5/dan. Nato je še pred pričetkom ponovne rasti sprejemov pričelo samo od sebe naraščati proti 9/dan. Vzrok za tak porast ni jasen, verjetno je šlo za neko statistično prekladanje podatkov med NIJZ in MZ, ali pa morda za preventivno čuvanje ICU postelj (delež ICU je padal), ne vem.
Zaradi rasti epidemije konec oktobra in v začetku novembra se zdaj dviguje tudi dnevno število umrlih. Predvidevam, da na nekje največ do povprečnega nivoja okoli 22/dan. Rizične skupine so zdaj res dobro imunizirane, popušča pa zaščita po cepljenju tistim prvim cepljenim v prvih letošnjih mesecih – teh je baje zato zdaj že kar nekaj v bolnišnicah, čeprav pogled okužb po starostnih skupinah pokaže, da recimo skupina 85+ ni nič kaj “podivjala” (pozor: po 21.11. se edino tej skupini padanje primerov zaustavlja). Kar nekaj je tudi imunsko oslabljenih bolnikov.
Velikostni razred števila smrti med neimunimi v 4. valu je že dolgo vnaprej določen za 500-700 (morda podcenjeno za par 100?), a popuščanje zaščite in imunokompromitirani tu niso bili všteti. Zaščitenost od cepljenja je že popustila, in vsi se ne bodo takoj cepili s 3. odmerkom – zato bo večje, zdaj izgleda okoli 1500.

Med sprejetimi v ICU delež cepljenih ni narastel nad 30%, kar me je rahlo presenečalo. Zdaj je spet nazaj na 30% in bomo videli … Zaradi poživitvenih odmerkov cepiva se naša trenutna povprečna učinkovitost zaščite od cepljenja že polagoma dviga.
Primer iz sredine novembra 2021: 30% delež cepljenih od 80% cepljene rizične populacije da proti 70% deležu necepljenih v ICU od 20% necepljene rizične populacije (80/30)/(20/70)=9.33x boljšo zaščito cepljenih od necepljenih pred ICU obravnavo. Oziroma našo trenutno 1-1/9.33=89% učinkovitost cepiva pred ICU obravnavo.

Naš trenutni povprečni faktor boljše zaščite cepljenega od necepljenega za pristanek v ICU/EIT/EIZ je sčasoma padal, in zdaj znaša le okoli 7. Za posameznika je kmalu po cepljenju z 2. ali 3. odmerkom ta faktor še bistveno višji.
Pri tveganju za okužbo in hospitalizacijo se faktor v zadnjem času zaradi tretjih odmerkov povečuje.








Rast v skupini 5-14 let se je že izpela. Vse nižje starostne skupine imajo lepo padanje z okoli 20% tedenskimi padci novih primerov.

Če pogledamo višje starostne skupine, imajo vse lepo padanje s po 20% padci tedensko. Edino 85+ ima nekaj porasta, ampak to je pri nizkih incidencah in nič ne pomeni.
Skupina 85+ (zaenkrat) nima neke posebne rasti, ki bi jo lahko pripisali popuščanju zaščite od cepljenja.


Na spodnjem diagramu celotnega poteka epidemije po starostnih skupinah je lepo vidno, kako je cepljenje v višjih starostnih skupinah preprečilo ponovitev lanske grozljive porazdelitve okužb, ki je imela za posledico veliko hospitalizacij in tudi smrti …

sobota 27.11.2021 ob 01:15 … preview: (zaenkrat samo pogled na včeraj izdane TAN kode – 2031 kod (950 manj kot prejšnji petek!), izgleda bo okoli 2200/5500 …)


petek 26.11.2021
Povzetek dnevne analize:
epidemija je od 6.11. naprej počasi padala, zdaj pada hitro, obeti za R okoli 0.75
efekt končanja počitnic ne bo bistven, tudi zaradi PCT v šolah (upoštevan v projekcijah), ljudje se zdaj sami bolj zaščitno obnašajo, nekaj dodaja vreme
vreme je oktobra pokazalo veliko več moči od pričakovanega + premaknilo druženja v notranje prostore, AY podvariante delte pri nas baje še niso kaj dosti v igri
R=0.81, vreme/šole/službe/univerze ga povečujejo, sprotna imunizacja deluje v nasprotno smer
bazen ljudi brez vsakršne imunosti (naive) okoli 13%, a zaradi popuščanja zaščite po cepljenju trenutno vseeno dovzetnih (susceptible) okoli 26%
povprečje javljenih primerov zadnjih 7 dni je 2798 (vmesni max je bil 17.9. pri 1045), NIJZ s korekcijami za nazaj 2786
2/2 SLO/EU zelenih občin, 2/2/0 občin brez primerov že vsaj 1/2/4 tedne
dosežena splošna skupna (kakršnakoli) imunost (upoštevani prekuženost in precepljenost, ter njun presek): 86.5% (popuščanje zaščite ni zajeto)
P ali C (ali oboje) starostnih skupin: 60-64: 99%, 65-69: 100%, 70-74: 100%, 75-79: 100%, 80-84: 100%, 85-89: 100%; 90+: 100%
dejanska trenutna imunost starostnih skupin: 60-64: 81%, 65-69: 82%, 70-74: 84%, 75-79: 84%, 80-84: 84%, 85-89: 84%; 90+: 83%
število novih sprejemov v bolnišnice je čez vrh 109 13.11. in je nekje na nivoju 95/dan
smrti so imele prvi vrh 24.9. pri 6/dan, po 14.10. so nenavadno porasle, trenutno jih je v povprečju 20/dan, rahla rast nekje do 30.11.
napoved okužb (tekoče 7d povprečje): imeli smo vmesni vrh 14.9. pri povprečno 1045 primerih dnevno, in glavni vrh 3338 6.11.2021, zdaj hitro padajo, t/2 23 dni
napoved hospitaliziranih: kot kaže je imel prvi vrh plato pri dobrih 400, potem rast in zdaj smo verjetno prko vrha 1168 23.11.
napoved ICU: vrh proti koncu novembra pri okoli 290 (ležalne dobe se daljšajo, odpusti zaostajajo), nazaj pod 200 do sredine decembra ali Božiča
napoved umrlih: 1500 (680 od tega jih je že bilo), po 4. valu skupno okoli 6100
napoved izpolnitve kriterijev za EU-rdečo: 28. december 2021

Z epidemiološkim modelom v aplikaciji covidSLO poskušam modelirati situacijo, ko nam je R zaradi počitnic postopoma padel za neko vrednost, z zamikom dveh tednov pa se po koncu njih vrne za nekaj manjšo vrednost nazaj navzgor. Nazaj nekaj manj, ker se bo vmes bazen dovzetnih še nekoliko zmanjšal. Poleg tega modeliram tudi novoletni porast R za 0.20 in potem še njegov padec nazaj za 0.15. Štartam s trenutno izmerjenim R, upoštevana trenutna povprečna učinkovitost cepiva (učinkovitost zaščite posameznega cepljenja s časom upada) je 50%.



Epidemija je v 4. valu približno na istem nivoju, kot je bila lani v 2. valu. Dejansko okuženih je približno enako. Je pa zdaj veliko manj hospitalizacij in smrti, kar gre pripisati cepljenju.

V skupini 5-14 let je vidno zaključevanje porasta pozitivnih primerov, kar je bilo zaradi več testiranja in kot zapoznela posledica konca počitnic.

Laboratoriji so tokrat zmogli več od povprečno 7-8000 PCR testov dnevno! Bravo!


Epidemija hitro upada, R pada in je že v okolici 0.80.
Prekuževanje poteka hitro. R se bo zelo težko kaj bistveno dvignil. Prehajamo sicer v najhladnejši del leta in več delcev z virusi bo ostajalo v zraku, a nekega dodatnega velikega dviga R to ne more prinesti, malo pa verjetno ja. Omeniti je treba še to, da se zaradi trenutne situacije tudi ljudje sami obnašajo nekoliko bolj zaščitno, to pa spet znižuje R.
Že od 14.11. sem pisal, da sem optimist, da bo R v kratkem 0.95. Očtno sem imel glede tega dober občutek:) Zdaj R jasno pada (to vidijo vsi) in se vidi, da zdaj gre celo proti 0.75. Očitno smo že pričeli s hitrejšim padanjem epidemije in vse bolj realna je možnost, da bi EU-rdečo fazo dosegli že med novoletnimi prazniki. Sicer smo s tem rokom še vedno nekje na začetku januarja. Najslabši možni scenarij bi bil, da se to potegne še za en dodaten teden, slabše od tega pa bi si upal garantirati, da ne bo.

Vreme (rumena krivulja) v povprečju vse bolj deluje v smeri povečevanja R (pričakovano). Prehajamo v najhladnejši del leta in več delcev z virusi bo ostajalo v zraku. Vreme tako deluje v smeri povečevanja R, a ta sila ni prav zelo močna in ni pričakovati nekega pomembnejšega dvigovanja R iz tega naslova, morda največ le zadrževanje R na nivoju okoli 0.75-0.80 za teden ali dva.

Hospitalizacije so po vmesnem platoju pri 400 hospitaliziranih ponovno naraščale, rast se je zaustavila, in predvidoma je bil vrh 23.11. pri 1168 hospitaliziranih.
Povprečno dnevno število umrlih je bilo po prvem vrhu pri 6.5/dan v zadnjem tednu septembra in v prvem tednu oktobra okoli 5/dan, potem pa v drugem tednu oktobra celo 3.5/dan. Nato je še pred pričetkom ponovne rasti sprejemov pričelo samo od sebe naraščati proti 9/dan. Vzrok za tak porast ni jasen, verjetno je šlo za neko statistično prekladanje podatkov med NIJZ in MZ, ali pa morda za preventivno čuvanje ICU postelj (delež ICU je padal), ne vem.
Zaradi rasti epidemije konec oktobra in v začetku novembra se zdaj dviguje tudi dnevno število umrlih. Predvidevam, da na nekje največ do povprečnega nivoja okoli 22/dan. Rizične skupine so zdaj res dobro imunizirane, popušča pa zaščita po cepljenju tistim prvim cepljenim v prvih letošnjih mesecih – teh je baje zato zdaj že kar nekaj v bolnišnicah, čeprav pogled okužb po starostnih skupinah pokaže, da recimo skupina 85+ ni nič kaj “podivjala” (pozor: po 21.11. se edino tej skupini padanje primerov zaustavlja). Kar nekaj je tudi imunsko oslabljenih bolnikov.
Število smrti med neimunimi v 4. valu so že dolgo vnaprej določene za 500-700 (morda podcenjeno za par 100?), a popuščanje zaščite in imunokompromitirani tu niso bili všteti. Zaščitenost od cepljenja je že popustila, in vsi se ne bodo takoj cepili s 3. odmerkom – zato bo večje, zdaj izgleda okoli 1500.

Med sprejetimi v ICU delež cepljenih ne naraste nad 30%, kar me rahlo preseneča. Zaradi poživitvenih odmerkov cepiva se naša trenutna povprečna učinkovitost zaščite od cepljenja že polagoma dviga.
Primer iz sredine novembra 2021: 30% delež cepljenih od 80% cepljene rizične populacije da proti 70% deležu necepljenih v ICU od 20% necepljene rizične populacije (80/30)/(20/70)=9.33x boljšo zaščito cepljenih od necepljenih pred ICU obravnavo. Oziroma našo trenutno 1-1/9.33=89% učinkovitost cepiva pred ICU obravnavo.

Naš trenutni povprečni faktor boljše zaščite cepljenega od necepljenega za pristanek v ICU/EIT/EIZ je sčasoma padal, in zdaj znaša okoli 10. Za posameznika je kmalu po cepljenju z 2. ali 3. odmerkom ta faktor še bistveno višji.


3D grafi poteka epidemije po regijah in starostnih skupinah so na voljo v analizi iz četrtka 25.11.2021.
petek 26.11.2021 ob 01:20 … preview: (zaenkrat samo pogled na včeraj izdane TAN kode – 1888 kod (1311 manj kot prejšnji četrtek!), izgleda bo okoli 2050/5500 …)

četrtek 25.11.2021
Povzetek dnevne analize:
epidemija je od 6.11. naprej počasi padala, zdaj pada hitro, obeti za R okoli 0.80
efekt končanja počitnic ne bo bistven, tudi zaradi PCT v šolah (upoštevan v projekcijah), ljudje se zdaj sami bolj zaščitno obnašajo, nekaj dodaja vreme
vreme je oktobra pokazalo veliko več moči od pričakovanega + premaknilo druženja v notranje prostore, AY podvariante delte pri nas baje še niso kaj dosti v igri
R=0.87, vreme/šole/službe/univerze ga povečujejo, sprotna imunizacja deluje v nasprotno smer
bazen ljudi brez vsakršne imunosti (naive) okoli 14%, a zaradi popuščanja zaščite po cepljenju trenutno vseeno dovzetnih (susceptible) okoli 26%
povprečje javljenih primerov zadnjih 7 dni je 2798 (vmesni max je bil 17.9. pri 1045), NIJZ s korekcijami za nazaj 2786
2/2 SLO/EU zelenih občin, 2/2/0 občin brez primerov že vsaj 1/2/4 tedne
dosežena splošna skupna (kakršnakoli) imunost (upoštevani prekuženost in precepljenost, ter njun presek): 86.3% (popuščanje zaščite ni zajeto)
P ali C (ali oboje) starostnih skupin: 60-64: 99%, 65-69: 100%, 70-74: 100%, 75-79: 100%, 80-84: 100%, 85-89: 100%; 90+: 100%
dejanska trenutna imunost starostnih skupin: 60-64: 80%, 65-69: 82%, 70-74: 84%, 75-79: 84%, 80-84: 84%, 85-89: 83%; 90+: 83%
število novih sprejemov v bolnišnice je čez vrh 109 13.11. in je nekje na nivoju 95/dan
smrti so imele prvi vrh 24.9. pri 6/dan, po 14.10. so nenavadno porasle, trenutno jih je v povprečju 20/dan, rahla rast nekje do 7.12.
napoved okužb (tekoče 7d povprečje): imeli smo vmesni vrh 14.9. pri povprečno 1045 primerih dnevno, in glavni vrh 3338 6.11.2021, zdaj hitro padajo
napoved hospitaliziranih: kot kaže je imel prvi vrh plato pri dobrih 400, potem rast in zdaj smo verjetno prko vrha 1168 23.11.
napoved ICU: vrh proti koncu novembra pri okoli 290 (ležalne dobe se daljšajo, odpusti zaostajajo), nazaj pod 200 do sredine decembra ali Božiča
napoved umrlih: 1500 (680 od tega jih je že bilo), po 4. valu skupno okoli 6100
napoved izpolnitve kriterijev za EU-rdečo: 1. januar 2022

Z epidemiološkim modelom v aplikaciji covidSLO poskušam modelirati situacijo, ko nam je R zaradi počitnic postopoma padel za neko vrednost, z zamikom dveh tednov pa se po koncu njih vrne za nekaj manjšo vrednost nazaj navzgor. Nazaj nekaj manj, ker se bo vmes bazen dovzetnih še nekoliko zmanjšal. Poleg tega modeliram tudi novoletni porast R za 0.20 in potem še njegov padec nazaj za 0.15. Štartam s trenutno izmerjenim R, upoštevana trenutna povprečna učinkovitost cepiva (učinkovitost zaščite posameznega cepljenja s časom upada) je 50%.



Epidemija je v 4. valu približno na istem nivoju, kot je bila lani v 2. valu. Dejansko okuženih je približno enako. Je pa zdaj veliko manj hospitalizacij in smrti, kar gre pripisati cepljenju.

V skupini 5-14 let je vidno zaključevanje porasta pozitivnih primerov, kar je bilo zaradi več testiranja in kot zapoznela posledica konca počitnic.

Laboratoriji so tokrat zmogli več od povprečno 7-8000 PCR testov dnevno! Bravo!


Epidemija hitro upada, R pada in je že v okolici 0.85.
Prekuževanje poteka hitro. R se bo zelo težko kaj bistveno dvignil. Prehajamo sicer v najhladnejši del leta in več delcev z virusi bo ostajalo v zraku, a nekega dodatnega velikega dviga R to ne more prinesti, malo pa verjetno ja. Omeniti je treba še to, da se zaradi trenutne situacije tudi ljudje sami obnašajo nekoliko bolj zaščitno, to pa spet znižuje R.
Že od 14.11. sem pisal, da sem optimist, da bo R v kratkem 0.95. Očtno sem imel glede tega dober občutek:) Zdaj imam občutek, da bo R že v nekaj dneh v okolici 0.80. Očitno smo že pričeli s hitrejšim padanjem epidemije. V tem primeru je potem celo možnost, da bi EU-rdečo fazo dosegli že med novoletnimi prazniki. Sicer smo s tem rokom še vedno nekje na začetku januarja. Najslabši možni scenarij bi bil, da se to potegne še za en dodaten teden, slabše od tega pa bi si upal garantirati, da ne bo.

Vreme (rumena krivulja) v povprečju vse bolj deluje v smeri povečevanja R (pričakovano). Prehajamo v najhladnejši del leta in več delcev z virusi bo ostajalo v zraku. Vreme tako deluje v smeri povečevanja R, a ta sila ni prav zelo močna in ni pričakovati nekega pomembnejšega dvigovanja R iz tega naslova, morda največ le zadrževanje R na nivoju okoli 0.80-0.85 za teden ali dva.

Hospitalizacije so po vmesnem platoju pri 400 hospitaliziranih ponovno naraščale, rast se zdaj zaustavlja, predvidoma smo na vrhu 24.11. pri 1165.
Povprečno dnevno število umrlih je bilo po prvem vrhu pri 6.5/dan v zadnjem tednu septembra in v prvem tednu oktobra okoli 5/dan, potem pa v drugem tednu oktobra celo 3.5/dan. Nato je še pred pričetkom ponovne rasti sprejemov pričelo samo od sebe naraščati proti 9/dan. Vzrok za tak porast ni jasen, verjetno je šlo za neko statistično prekladanje podatkov med NIJZ in MZ, ali pa morda za preventivno čuvanje ICU postelj (delež ICU je padal), ne vem.
Zaradi rasti epidemije konec oktobra in v začetku novembra se zdaj dviguje tudi dnevno število umrlih. Predvidevam, da na nekje največ do povprečnega nivoja okoli 22/dan. Rizične skupine so zdaj res dobro imunizirane, popušča pa zaščita po cepljenju tistim prvim cepljenim v prvih letošnjih mesecih – teh je baje zato zdaj že kar nekaj v bolnišnicah, čeprav pogled okužb po starostnih skupinah pokaže, da recimo skupina 85+ ni nič kaj “podivjala”. Kar nekaj je tudi imunsko oslabljenih bolnikov.
Število smrti med neimunimi v 4. valu so že dolgo vnaprej določene za 500-700 (morda podcenjeno za par 100?), a popuščanje zaščite in imunokompromitirani tu niso bili všteti. Zaščitenost od cepljenja je že popustila, in vsi se ne bodo takoj cepili s 3. odmerkom – zato bo večje, zdaj izgleda okoli 1500.

Med sprejetimi v ICU delež cepljenih ne naraste nad 30%, kar me rahlo preseneča. Zaradi poživitvenih odmerkov cepiva se naša trenutna povprečna učinkovitost zaščite od cepljenja že polagoma dviga.
Primer iz sredine novembra 2021: 30% delež cepljenih od 80% cepljene rizične populacije da proti 70% deležu necepljenih v ICU od 20% necepljene rizične populacije (80/30)/(20/70)=9.33x boljšo zaščito cepljenih od necepljenih pred ICU obravnavo. Oziroma našo trenutno 1-1/9.33=89% učinkovitost cepiva pred ICU obravnavo.

Naš trenutni povprečni faktor boljše zaščite cepljenega od necepljenega za pristanek v ICU/EIT/EIZ je sčasoma padal, in zdaj znaša okoli 10. Za posameznika je kmalu po cepljenju z 2. ali 3. odmerkom ta faktor še bistveno višji.








Rast v skupini 5-14 let se je že izpela. Vse nižje starostne skupine imajo lepo padanje z okoli 20% tedenskimi padci novih primerov.

Če pogledamo višje starostne skupine, imajo vse lepo padanje s po 20% padci tedensko. Edino 85+ ima nekaj porasta, ampak to je pri nizkih incidencah in nič ne pomeni.
Skupina 85+ (zaenkrat) nima neke posebne rasti, ki bi jo lahko pripisali popuščanju zaščite od cepljenja.


Na spodnjem diagramu celotnega poteka epidemije po starostnih skupinah je lepo vidno, kako je cepljenje v višjih starostnih skupinah preprečilo ponovitev lanske grozljive porazdelitve okužb, ki je imela za posledico veliko hospitalizacij in tudi smrti …

četrtek 25.11.2021 ob 01:20 … preview: (zaenkrat samo pogled na včeraj izdane TAN kode – 2461 kod (873 manj kot prejšnjo sredo!), izgleda bo okoli 2700/7700 …)

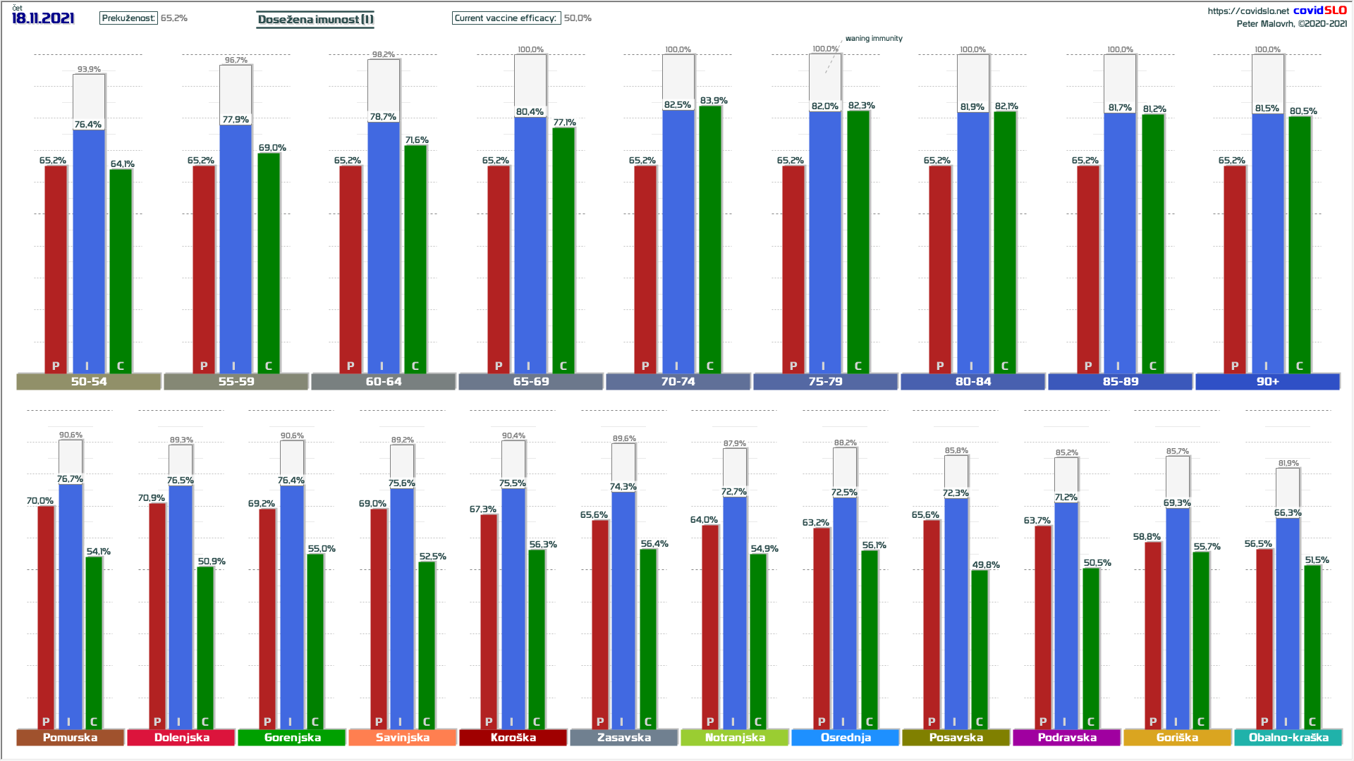
sreda 24.11.2021
Povzetek dnevne analize:
epidemija od 6.11. naprej ni več rasla ampak počasi padala, počasnega padanja je izgleda konec, padamo hitro
efekt končanja počitnic ne bo bistven, tudi zaradi PCT v šolah (upoštevan v projekcijah), ljudje se zdaj sami bolj zaščitno obnašajo, nekaj dodaja vreme
vreme je pokazalo veliko več moči od pričakovanega + premaknilo druženja v notranje prostore, AY podvariante delte pri nas baje še niso kaj dosti v igri
R=0.92, vreme/šole/službe/univerze ga povečujejo, sprotna imunizacja deluje v nasprotno smer
bazen ljudi brez vsakršne imunosti (naive) okoli 14%, a zaradi popuščanja zaščite po cepljenju trenutno vseeno dovzetnih (susceptible) okoli 27%
povprečje javljenih primerov zadnjih 7 dni je 3102 (vmesni max je bil 17.9. pri 1045), NIJZ s korekcijami za nazaj 3090
2/1 SLO/EU zelenih občin, 2/1/0 občin brez primerov že vsaj 1/2/4 tedne
dosežena splošna skupna (kakršnakoli) imunost (upoštevani prekuženost in precepljenost, ter njun presek): 86.0% (popuščanje zaščite ni zajeto)
P ali C (ali oboje) starostnih skupin: 60-64: 99%, 65-69: 100%, 70-74: 100%, 75-79: 100%, 80-84: 100%, 85-89: 100%; 90+: 100%
dejanska trenutna imunost starostnih skupin: 60-64: 80%, 65-69: 82%, 70-74: 84%, 75-79: 83%, 80-84: 83%, 85-89: 83%; 90+: 83%
število novih sprejemov v bolnišnice je čez vrh in je nekje na nivoju 95/dan
smrti so imele prvi vrh 24.9. pri 6/dan, po 14.10. so nenavadno porasle, trenutno jih je v povprečju 20/dan, rahla rast nekje do 7.12.
napoved okužb (tekoče 7d povprečje): imeli smo vmesni vrh 14.9. pri povprečno 1045 primerih dnevno, in glavni vrh 3338 6.11.2021, zdaj hitro padajo
napoved hospitaliziranih: kot kaže je imel prvi vrh plato pri dobrih 400, potem rast in verjetno smo zdaj na vrhu pri okoli 1165 24.11.2021
napoved ICU: vrh proti koncu novembra pri okoli 290 (ležalne dobe se daljšajo, odpusti zaostajajo), nazaj pod 200 do Božiča
napoved umrlih: 1500 (680 od tega jih je že bilo), po 4. valu skupno okoli 6100
napoved izpolnitve kriterijev za EU-rdečo: 7. januar 2022

Z epidemiološkim modelom v aplikaciji covidSLO poskušam modelirati situacijo, ko nam je R zaradi počitnic postopoma padel za neko vrednost, z zamikom dveh tednov pa se po koncu njih vrne za nekaj manjšo vrednost nazaj navzgor. Nazaj nekaj manj, ker se bo vmes bazen dovzetnih še nekoliko zmanjšal. Poleg tega modeliram tudi novoletni porast R za 0.20 in potem še njegov padec nazaj za 0.15. Štartam s trenutno izmerjenim R, upoštevana trenutna povprečna učinkovitost cepiva (učinkovitost zaščite posameznega cepljenja s časom upada) je 50%.



Epidemija je v 4. valu približno na istem nivoju, kot je bila lani v 2. valu. Dejansko okuženih je približno enako. Je pa zdaj veliko manj hospitalizacij in smrti, kar gre pripisati cepljenju.

V skupini 5-14 let je vidno zaključevanje porasta pozitivnih primerov, kar je bilo zaradi več testiranja in kot zapoznela posledica konca počitnic.

Laboratoriji so tokrat zmogli več od povprečno 7-8000 PCR testov dnevno! Bravo!


Epidemija hitro upada, R pada in je že v okolici 0.90.
Prekuževanje poteka hitro. R se bo zelo težko kaj bistveno dvignil. Prehajamo sicer v najhladnejši del leta in več delcev z virusi bo ostajalo v zraku, a nekega dodatnega velikega dviga R to ne more prinesti, malo pa verjetno ja. Omeniti je treba še to, da se zaradi trenutne situacije tudi ljudje sami obnašajo nekoliko bolj zaščitno, to pa spet znižuje R.
Že od 14.11. pišem, da sem optimist, da bo R v kratkem 0.95. Očtno sem imel glede tega dober občutek:) Zdaj imam občutek, da bo R že v nekaj dneh v okoli 0.85. Očitno smo že pričeli s hitrejšim padanjem epidemije. V tem primeru je potem celo možnost, da bi EU-rdečo fazo dosegli že med novoletnimi prazniki. Sicer smo s tem rokom še vedno nekje na začetku januarja. Najslabši možni scenarij bi bil, da se to potegne še za en dodaten teden, slabše od tega pa bi si upal garantirati, da ne bo.

Vreme (rumena krivulja) v povprečju vse bolj deluje v smeri povečevanja R (pričakovano). Prehajamo v najhladnejši del leta in več delcev z virusi bo ostajalo v zraku. Vreme tako deluje v smeri povečevanja R, a ta sila ni prav zelo močna in ni pričakovati nekega pomembnejšega dvigovanja R iz tega naslova, morda največ le zadrževanje R na nivoju okoli 0.85 za teden ali dva.

Hospitalizacije so po vmesnem platoju pri 400 hospitaliziranih ponovno naraščale, rast se zdaj zaustavlja, predvidoma smo na vrhu 24.11. pri 1165.
Povprečno dnevno število umrlih je bilo po prvem vrhu pri 6.5/dan v zadnjem tednu septembra in v prvem tednu oktobra okoli 5/dan, potem pa v drugem tednu oktobra celo 3.5/dan. Nato je še pred pričetkom ponovne rasti sprejemov pričelo samo od sebe naraščati proti 9/dan. Vzrok za tak porast ni jasen, verjetno je šlo za neko statistično prekladanje podatkov med NIJZ in MZ, ali pa morda za preventivno čuvanje ICU postelj (delež ICU je padal), ne vem.
Zaradi rasti epidemije konec oktobra in v začetku novembra se zdaj dviguje tudi dnevno število umrlih. Predvidevam, da na nekje največ do povprečnega nivoja okoli 22/dan. Rizične skupine so zdaj res dobro imunizirane, popušča pa zaščita po cepljenju tistim prvim cepljenim v prvih letošnjih mesecih – teh je baje zato zdaj že kar nekaj v bolnišnicah, čeprav pogled okužb po starostnih skupinah pokaže, da recimo skupina 85+ ni nič kaj “podivjala”. Kar nekaj je tudi imunsko oslabljenih bolnikov.
Število smrti med neimunimi v 4. valu so že dolgo vnaprej določene za 500-700 (morda podcenjeno za par 100?), a popuščanje zaščite in imunokompromitirani tu niso bili všteti. Zaščitenost od cepljenja je že popustila, in vsi se ne bodo takoj cepili s 3. odmerkom – zato bo večje, zdaj izgleda okoli 1500.

Med sprejetimi v ICU delež cepljenih ne naraste nad 30%, kar me rahlo preseneča. Zaradi poživitvenih odmerkov cepiva se naša trenutna povprečna učinkovitost zaščite od cepljenja že polagoma dviga.
Primer: 30% delež cepljenih od 80% cepljene rizične populacije da proti 70% deležu necepljenih v ICU od 20% necepljene rizične populacije (80/30)/(20/70)=9.33x boljšo zaščito cepljenih od necepljenih pred ICU obravnavo. Oziroma našo trenutno 1-1/9.33=89% učinkovitost cepiva pred ICU obravnavo.

Naš trenutni povprečni faktor boljše zaščite cepljenega od necepljenega za pristanek v ICU/EIT/EIZ je sčasoma padal, in zdaj znaša okoli 9. Za posameznika je kmalu po cepljenju z 2. ali 3. odmerkom ta faktor še bistveno višji.


sreda 24.11.2021 ob 02:10 … preview: (zaenkrat samo pogled na včeraj izdane TAN kode – 2987 kod (1031 manj kot prejšnji torek!), izgleda bo okoli 3200-3600/7800 …)

torek 23.11.2021
Povzetek dnevne analize:
epidemija od 6.11. naprej ni več rasla ampak počasi padala, počasno padanje je lahko do začetka decembra, potem hitreje
odločilo bo, ali bo efekt končanja počitnic (upoštevan v projekcijah), ter koliko se bodo ljudje zdaj sami bolj zaščitno obnašali, nekaj pa tudi vreme
vreme je pokazalo veliko več moči od pričakovanega + premaknilo druženja v notranje prostore, AY podvariante delte pri nas baje še niso kaj dosti v igri
od 8.11. do 13.11. se je podvojil obseg HAT, zato med pozitivnimi ranga 200 dodatnih pozitivnih, R zato v resnici nekaj nižji kot kaže izračun
od 17.11. naprej poteka redno 3x tedensko samotestiranje šolarjev, to bo tudi imelo statističen efekt na višje število pozitivnih, a to ne pomeni rasti epidemije
R=0.95, vreme/šole/službe/univerze ga povečujejo, sprotna imunizacja deluje v nasprotno smer
bazen ljudi brez vsakršne imunosti (naive) okoli 14%, a zaradi popuščanja zaščite po cepljenju trenutno vseeno dovzetnih (susceptible) okoli 27%
povprečje javljenih primerov zadnjih 7 dni je 3102 (vmesni max je bil 17.9. pri 1045), NIJZ s korekcijami za nazaj 3090
2/1 SLO/EU zelenih občin, 2/1/0 občin brez primerov že vsaj 1/2/4 tedne
dosežena splošna skupna (kakršnakoli) imunost (upoštevani prekuženost in precepljenost, ter njun presek): 85.8% (popuščanje zaščite ni zajeto)
P ali C (ali oboje) starostnih skupin: 60-64: 99%, 65-69: 100%, 70-74: 100%, 75-79: 100%, 80-84: 100%, 85-89: 100%; 90+: 100%
dejanska trenutna imunost starostnih skupin: 60-64: 80%, 65-69: 81%, 70-74: 84%, 75-79: 83%, 80-84: 83%, 85-89: 83%; 90+: 83%
število novih sprejemov v bolnišnice ima vrh (incidence višjih st. skupin padajo!), je nekje na nivoju 100-105/dan
smrti so imele prvi vrh 24.9. pri 6/dan, po 14.10. so nenavadno porasle, trenutno jih je v povprečju 19/dan, rahla rast nekje do 7.12.
napoved okužb (tekoče 7d povprečje): imeli smo vmesni vrh 14.9. pri povprečno 1045 primerih dnevno, zdaj smo izgleda če čez glavni vrh 3338 6.11.2021
napoved hospitaliziranih: kot kaže je imel prvi vrh plato pri dobrih 400, potem rast in verjetno smo zdaj na vrhu pri okoli 1165 24.11.2021
napoved ICU: vrh proti koncu novembra pri okoli 295 (ležalne dobe se daljšajo, odpusti zaostajajo), nazaj pod 200 do Božiča
napoved umrlih: 1500 (680 od tega jih je že bilo), po 4. valu skupno okoli 6100
napoved izpolnitve kriterijev za EU-rdečo: 16. januar 2022

Z epidemiološkim modelom v aplikaciji covidSLO poskušam modelirati situacijo, ko nam je R zaradi počitnic postopoma padel za neko vrednost, z zamikom dveh tednov pa se po koncu njih vrne za nekaj manjšo vrednost nazaj navzgor. Nazaj nekaj manj, ker se bo vmes bazen dovzetnih še nekoliko zmanjšal. Poleg tega modeliram tudi novoletni porast R za 0.20 in potem še njegov padec nazaj za 0.15. Štartam s trenutno izmerjenim R, upoštevana trenutna povprečna učinkovitost cepiva (učinkovitost zaščite posameznega cepljenja s časom upada) je 50%.


V skupini 5-14 let je vidno zaključevanje porasta pozitivnih primerov, kar je bilo zaradi več testiranja in kot zapoznela posledica konca počitnic.

Smo na rekordnih vrednostih novih primerov dnevno. Delež pozitivnih je že nekaj časa rekorden. Verjetno do konca meseca rahlo padanje, potem pa močnejše.
Laboratoriji tokrat zmorejo več od povprečno 7-8000 PCR testov dnevno! Bravo!


Epidemija rahlo upada, R pada in je tik pod 1. Skupina 5-14 let nam zdaj pričakovano dviguje R, a umetno ga dviguje tudi podvojen obseg HAT testiranja od 8.11. dalje, po 17.11. pa tudi obvezno samotestiranje vseh ne-PC učencev v naših OŠ in SŠ.
Torej, delno se rast postopno preliva tudi v višje starostne skupine, ampak del te rasti je umeten zaradi podvojenega obsega HAT. Prekuževanje poteka hitro. R se bo zelo težko kaj bistveno dvignil. Prehajamo sicer v najhladnejši del leta in več delcev z virusi bo ostajalo v zraku, a nekega dodatnega velikega dviga R to ne more prinest, malo pa verjetno ja. Omeniti je treba še to, da se zaradi trenutne situacije tudi ljudje sami obnašajo nekoliko bolj zaščitno, to pa spet znižuje R.
Že od 14.11. pišem, da sem optimist, da bo R v kratkem 0.95. Očtno sem imel glede tega dober občutek:) Zdaj imam občutek, da R ne bo za 2-3 tedne obstal na nivoju 0-97-0.98, ampak se mi zdi bolj verjetno, da bo do konca tedna že v bližini 0.90. Če se bo to uresničevalo, bomo lahko že razmišljali, da smo že pričeli s hitrejšim padanjem epidemije. V tem primeru je potem celo možnost, da bi EU-rdečo fazo dosegli že med novoletnimi prazniki. Sicer smo s tem rokom še vedno nekje na sredini januarja. Najslabši možni scenarij bi bil, da se to potegne še za en dodaten teden, slabše pa bi si upal garantirati, da ne bo.

Vreme (rumena krivulja) v povprečju vse bolj deluje v smeri povečevanja R (pričakovano). Prehajamo v najhladnejši del leta in več delcev z virusi bo ostajalo v zraku. Vreme tako deluje v smeri povečevanja R, a ta sila ni prav zelo močna in ni pričakovati nekega pomembnejšega dvigovanja R iz tega naslova, morda največ le zadrževanje R na nivoju okoli 0.90 za teden ali dva.

Hospitalizacije so po vmesnem platoju pri 400 hospitaliziranih ponovno naraščale, rast se zdaj zaustavlja, predvidoma smo na vrhu 24.11. pri 1165.
Povprečno dnevno število umrlih je bilo po prvem vrhu pri 6.5/dan v zadnjem tednu septembra in v prvem tednu oktobra okoli 5/dan, potem pa v drugem tednu oktobra celo 3.5/dan. Nato je še pred pričetkom ponovne rasti sprejemov pričelo samo od sebe naraščati proti 9/dan. Vzrok za tak porast ni jasen, verjetno je šlo za neko statistično prekladanje podatkov med NIJZ in MZ, ali pa morda za preventivno čuvanje ICU postelj (delež ICU je padal), ne vem.
Zaradi rasti epidemije konec oktobra in v začetku novembra se zdaj dviguje tudi dnevno število umrlih. Predvidevam, da na nekje največ do povprečnega nivoja okoli 22/dan. Rizične skupine so zdaj res dobro imunizirane, popušča pa zaščita po cepljenju tistim prvim cepljenim v prvih letošnjih mesecih – teh je baje zato zdaj že kar nekaj v bolnišnicah, čeprav pogled okužb po starostnih skupinah pokaže, da recimo skupina 85+ ni nič kaj “podivjala”. Kar nekaj je tudi imunsko oslabljenih bolnikov.
Število smrti med neimunimi v 4. valu so že dolgo vnaprej določene za 500-700 (morda podcenjeno za par 100?), a popuščanje zaščite in imunokompromitirani tu niso bili všteti. Zaščitenost od cepljenja je že popustila, in vsi se ne bodo takoj cepili s 3. odmerkom – zato bo večje, zdaj izgleda okoli 1500.

Med sprejetimi v ICU delež cepljenih ne naraste nad 30%, kar me rahlo preseneča. Zaradi poživitvenih odmerkov cepiva se naša trenutna povprečna učinkovitost zaščite od cepljenja že polagoma dviga.
Primer: 30% delež cepljenih od 80% cepljene rizične populacije da proti 70% deležu necepljenih v ICU od 20% necepljene rizične populacije (80/30)/(20/70)=9.33x boljšo zaščito cepljenih od necepljenih pred ICU obravnavo. Oziroma našo trenutno 1-1/9.33=89% učinkovitost cepiva pred ICU obravnavo.

Naš trenutni povprečni faktor boljše zaščite cepljenega od necepljenega za pristanek v ICU/EIT/EIZ je sčasoma padal, in zdaj znaša okoli 9. Za posameznika je kmalu po cepljenju z 2. ali 3. odmerkom ta faktor še bistveno višji.


torek 23.11.2021 ob 02:25 … preview: (zaenkrat samo pogled na včeraj izdane TAN kode – 2905 kod (350 manj kot prejšnji ponedeljek!), izgleda bo okoli 3400/7200 …)


ponedeljek 22.11.2021
Povzetek dnevne analize:
epidemija od 6.11. naprej ni več rasla ampak počasi padala, počasno padanje je lahko do začetka decembra, potem hitreje
odločilo bo, ali bo efekt končanja počitnic (upoštevan v projekcijah), ter koliko se bodo ljudje zdaj sami bolj zaščitno obnašali, nekaj pa tudi vreme
vreme je pokazalo veliko več moči od pričakovanega + premaknilo druženja v notranje prostore, AY podvariante delte pri nas baje še niso kaj dosti v igri
od 8.11. do 13.11. se je podvojil obseg HAT, zato med pozitivnimi ranga 200 dodatnih pozitivnih, R zato v resnici nekaj nižji kot kaže izračun
od 17.11. naprej poteka redno 3x tedensko samotestiranje šolarjev, to bo tudi imelo statističen efekt na višje število pozitivnih, a to ne pomeni rasti epidemije
R=0.96, vreme/šole/službe/univerze ga povečujejo, sprotna imunizacja deluje v nasprotno smer
bazen ljudi brez vsakršne imunosti (naive) okoli 14%, a zaradi popuščanja zaščite po cepljenju trenutno vseeno dovzetnih (susceptible) okoli 27%
povprečje javljenih primerov zadnjih 7 dni je 3155 (vmesni max je bil 17.9. pri 1045), NIJZ s korekcijami za nazaj 3143
2/1 SLO/EU zelenih občin, 2/1/0 občin brez primerov že vsaj 1/2/4 tedne
dosežena splošna skupna (kakršnakoli) imunost (upoštevani prekuženost in precepljenost, ter njun presek): 85.6% (popuščanje zaščite ni zajeto)
P ali C (ali oboje) starostnih skupin: 60-64: 99%, 65-69: 100%, 70-74: 100%, 75-79: 100%, 80-84: 100%, 85-89: 100%; 90+: 100%
dejanska trenutna imunost starostnih skupin: 60-64: 79%, 65-69: 81%, 70-74: 83%, 75-79: 83%, 80-84: 83%, 85-89: 82%; 90+: 82%
število novih sprejemov v bolnišnice ima vrh (incidence višjih st. skupin padajo!), je nekje na nivoju 100-105/dan
smrti so imele prvi vrh 24.9. pri 6/dan, po 14.10. so nenavadno porasle, trenutno jih je v povprečju 19/dan, rahla rast nekje do 7.12.
napoved okužb (tekoče 7d povprečje): imeli smo vmesni vrh 14.9. pri povprečno 1045 primerih dnevno, zdaj smo izgleda če čez glavni vrh 3338 6.11.2021
napoved hospitaliziranih: kot kaže je imel prvi vrh plato pri dobrih 400, potem rast in verjetno bo šlo do okoli 1165 24.11.2021
napoved ICU: vrh proti koncu novembra pri okoli 275 (odpusti zaostajajo), nazaj pod 200 do Božiča
napoved umrlih: 1500 (680 od tega jih je že bilo), po 4. valu skupno okoli 6100
napoved izpolnitve kriterijev za EU-rdečo: 16. januar 2022

Z epidemiološkim modelom v aplikaciji covidSLO poskušam modelirati situacijo, ko nam je R zaradi počitnic postopoma padel za neko vrednost, z zamikom dveh tednov pa se po koncu njih vrne za nekaj manjšo vrednost nazaj navzgor. Nazaj nekaj manj, ker se bo vmes bazen dovzetnih še nekoliko zmanjšal. Poleg tega modeliram tudi novoletni porast R za 0.20 in potem še njegov padec nazaj za 0.15. Štartam s trenutno izmerjenim R, upoštevana trenutna povprečna učinkovitost cepiva (učinkovitost zaščite posameznega cepljenja s časom upada) je 50%.



V skupini 5-14 let je vidno zaključevanje porasta pozitivnih primerov, kar je bilo zaradi več testiranja in kot zapoznela posledica konca počitnic.

Smo na rekordnih vrednostih novih primerov dnevno. Delež pozitivnih je že nekaj časa rekorden. Verjetno do konca meseca rahlo padanje, potem pa močnejše.
Laboratoriji tokrat zmorejo več od povprečno 7-8000 PCR testov dnevno! Bravo!


Epidemija rahlo upada, R pada in je tik pod 1. Skupina 5-14 let nam zdaj pričakovano dviguje R, a umetno ga dviguje tudi podvojen obseg HAT testiranja od 8.11. dalje, po 17.11. pa tudi obvezno samotestiranje vseh ne-PC učencev v naših OŠ in SŠ.
Torej, delno se rast postopno preliva tudi v višje starostne skupine, ampak del te rasti je umeten zaradi podvojenega obsega HAT. Prekuževanje poteka hitro. R se bo zelo težko kaj bistveno dvignil. Prehajamo sicer v najhladnejši del leta in več delcev z virusi bo ostajalo v zraku, a nekega dodatnega velikega dviga R to ne more prinest, malo pa verjetno ja. Omeniti je treba še to, da se zaradi trenutne situacije tudi ljudje sami obnašajo nekoliko bolj zaščitno, to pa spet znižuje R.
Že od 14.11. pišem, da sem optimist, da bo R v kratkem 0.95. Očtno sem imel glede tega dober občutek:) Zdaj imam občutek, da R ne bo za 2-3 tedne obstal na nivoju 0-97-0.98, ampak se mi zdi bolj verjetno, da bo do konca tedna že v bližini 0.90. Če se bo to uresničevalo, bomo lahko že razmišljali, da smo že pričeli s hitrejšim padanjem epidemije. V tem primeru je potem celo možnost, da bi EU-rdečo fazo dosegli že med novoletnimi prazniki. Sicer smo s tem rokom še vedno nekje na sredini januarja. Najslabši možni scenarij bi bil, da se to potegne še za en dodaten teden, slabše pa bi si upal garantirati, da ne bo.

Vreme (rumena krivulja) v povprečju vse bolj deluje v smeri povečevanja R (pričakovano). Prehajamo v najhladnejši del leta in več delcev z virusi bo ostajalo v zraku. Vreme tako deluje v smeri povečevanja R, a ta sila ni prav zelo močna in ni pričakovati nekega pomembnejšega dvigovanja R iz tega naslova, morda največ le zadrževanje R na nivoju okoli 0.95 za teden ali dva.

Hospitalizacije so po vmesnem platoju pri 400 hospitaliziranih ponovno naraščale, rast se zdaj zaustavlja, šle bodo verjetno vsaj do 1140.
Povprečno dnevno število umrlih je bilo po prvem vrhu pri 6.5/dan v zadnjem tednu septembra in v prvem tednu oktobra okoli 5/dan, potem pa v drugem tednu oktobra celo 3.5/dan. Nato je še pred pričetkom ponovne rasti sprejemov pričelo samo od sebe naraščati proti 9/dan. Vzrok za tak porast ni jasen, verjetno je šlo za neko statistično prekladanje podatkov med NIJZ in MZ, ali pa morda za preventivno čuvanje ICU postelj (delež ICU je padal), ne vem.
Zaradi rasti epidemije konec oktobra in v začetku novembra se zdaj dviguje tudi dnevno število umrlih. Predvidevam, da na nekje največ do povprečnega nivoja okoli 22/dan. Rizične skupine so zdaj res dobro imunizirane, popušča pa zaščita po cepljenju tistim prvim cepljenim v prvih letošnjih mesecih – teh je baje zato zdaj že kar nekaj v bolnišnicah, čeprav pogled okužb po starostnih skupinah pokaže, da recimo skupina 85+ ni nič kaj “podivjala”. Kar nekaj je tudi imunsko oslabljenih bolnikov.
Število smrti med neimunimi v 4. valu so že dolgo vnaprej določene za 500-700 (morda podcenjeno za par 100?), a popuščanje zaščite in imunokompromitirani tu niso bili všteti. Zaščitenost od cepljenja je že popustila, in vsi se ne bodo takoj cepili s 3. odmerkom – zato bo večje, zdaj izgleda okoli 1500.

Med sprejetimi v ICU delež cepljenih ne naraste nad 30%, kar me rahlo preseneča. Zaradi poživitvenih odmerkov cepiva se naša trenutna povprečna učinkovitost zaščite od cepljenja že polagoma dviga.
Primer: 30% delež cepljenih od 80% cepljene rizične populacije da proti 70% deležu necepljenih v ICU od 20% necepljene rizične populacije (80/30)/(20/70)=9.33x boljšo zaščito cepljenih od necepljenih pred ICU obravnavo. Oziroma našo trenutno 1-1/9.33=89% učinkovitost cepiva pred ICU obravnavo.

Naš trenutni povprečni faktor boljše zaščite cepljenega od necepljenega za pristanek v ICU/EIT/EIZ je sčasoma padal, in zdaj znaša okoli 9. Za posameznika je kmalu po cepljenju z 2. ali 3. odmerkom ta faktor še bistveno višji.


3D grafi poteka epidemije po regijah in starostnih skupinah so na voljo v analizi iz sobote 20.11.2021. Tu zdaj dajem le osnovna dva:


ponedeljek 22.11.2021 ob 01:30 … preview: (zaenkrat samo pogled na včeraj izdane TAN kode – 1336 kod (418 manj kot prejšnjo soboto!), izgleda bo okoli 1400/2700 …)

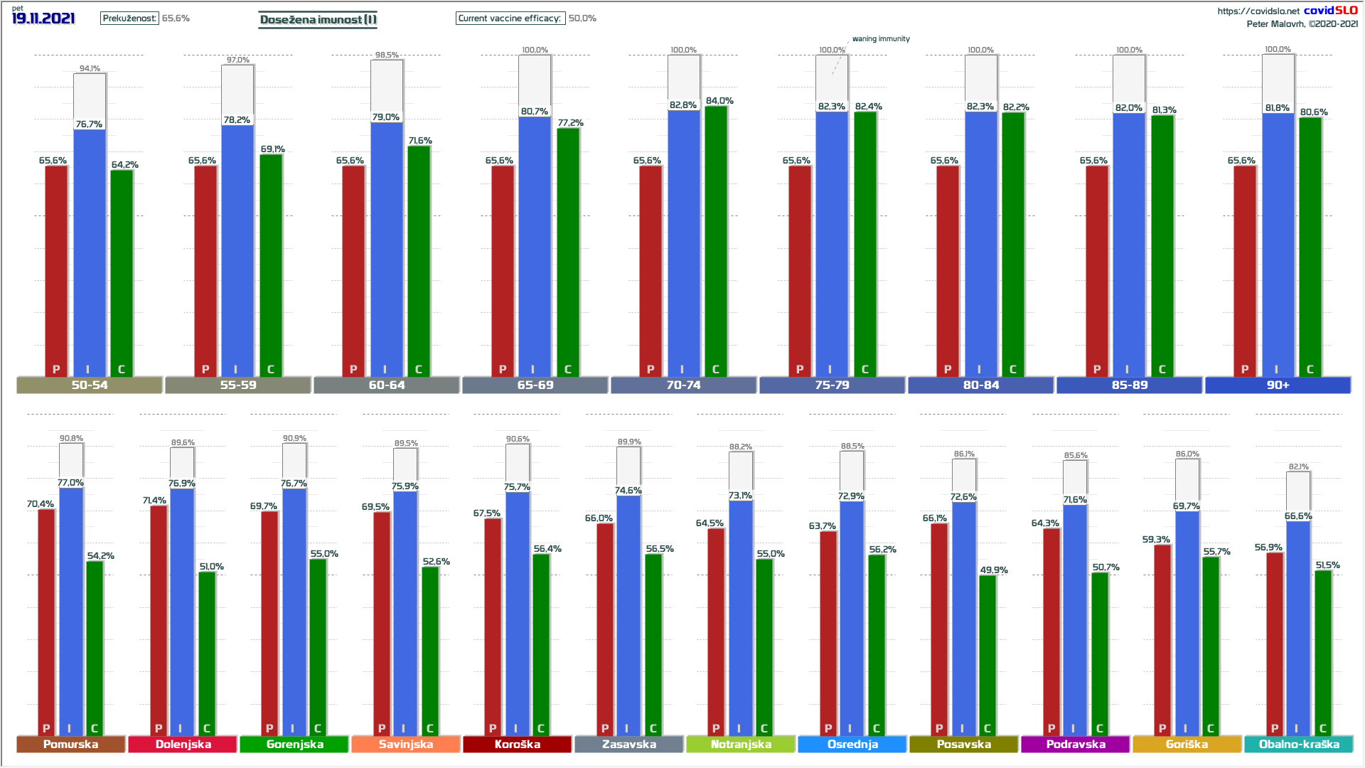
nedelja 21.11.2021
Povzetek dnevne analize:
epidemija od 6.11. naprej ni več rasla ampak počasi padala, počasno padanje je lahko do začetka decembra, potem hitreje
odločilo bo, ali bo efekt končanja počitnic (upoštevan v projekcijah), ter koliko se bodo ljudje zdaj sami bolj zaščitno obnašali, nekaj pa tudi vreme
vreme je pokazalo veliko več moči od pričakovanega + premaknilo druženja v notranje prostore, AY podvariante delte pri nas baje še niso kaj dosti v igri
od 8.11. do 13.11. se je podvojil obseg HAT, zato med pozitivnimi ranga 200 dodatnih pozitivnih, R zato v resnici nekaj nižji kot kaže izračun
od 17.11. naprej poteka redno 3x tedensko samotestiranje šolarjev, to bo tudi imelo statističen efekt na višje število pozitivnih, a to ne pomeni rasti epidemije
R=0.97, vreme/šole/službe/univerze ga povečujejo, sprotna imunizacja deluje v nasprotno smer
bazen ljudi brez vsakršne imunosti (naive) okoli 15%, a zaradi popuščanja zaščite po cepljenju trenutno vseeno dovzetnih (susceptible) okoli 27%
povprečje javljenih primerov zadnjih 7 dni je 3216 (vmesni max je bil 17.9. pri 1045), NIJZ s korekcijami za nazaj 3203
2/1 SLO/EU zelenih občin, 2/1/0 občin brez primerov že vsaj 1/2/4 tedne
dosežena splošna skupna (kakršnakoli) imunost (upoštevani prekuženost in precepljenost, ter njun presek): 85.5% (popuščanje zaščite ni zajeto)
P ali C (ali oboje) starostnih skupin: 60-64: 99%, 65-69: 100%, 70-74: 100%, 75-79: 100%, 80-84: 100%, 85-89: 100%; 90+: 100%
dejanska trenutna imunost starostnih skupin: 60-64: 79%, 65-69: 81%, 70-74: 83%, 75-79: 83%, 80-84: 83%, 85-89: 83%; 90+: 82%
število novih sprejemov v bolnišnice ima vrh (incidence višjih st. skupin padajo!), je nekje na nivoju 105/dan
smrti so imele prvi vrh 24.9. pri 6/dan, po 14.10. so nenavadno porasle, trenutno jih je v povprečju 19/dan, rahla rast nekje do 7.12.
napoved okužb (tekoče 7d povprečje): imeli smo vmesni vrh 14.9. pri povprečno 1045 primerih dnevno, zdaj smo izgleda če čez glavni vrh 3338 6.11.2021
napoved hospitaliziranih: kot kaže je imel prvi vrh plato pri dobrih 400, potem rast in verjetno bo šlo do okoli 1150 26.11.2021
napoved ICU: vrh proti koncu novembra pri okoli 265, nazaj pod 200 do Božiča
napoved umrlih: 1500 (597 od tega jih je že bilo), po 4. valu skupno okoli 6100
napoved izpolnitve kriterijev za EU-rdečo: 16. januar 2022

Z epidemiološkim modelom v aplikaciji covidSLO poskušam modelirati situacijo, ko nam je R zaradi počitnic postopoma padel za neko vrednost, z zamikom dveh tednov pa se po koncu njih vrne za nekaj manjšo vrednost nazaj navzgor. Nazaj nekaj manj, ker se bo vmes bazen dovzetnih še nekoliko zmanjšal. Poleg tega modeliram tudi novoletni porast R za 0.20 in potem še njegov padec nazaj za 0.15. Štartam s trenutno izmerjenim R, upoštevana trenutna povprečna učinkovitost cepiva (učinkovitost zaščite posameznega cepljenja s časom upada) je 50%.



V skupini 5-14 let je viden porast pozitivnih primerov, več testiranja in zapoznela posledica konca počitnic. Rast ima tudi regija PD.

Smo na rekordnih vrednostih novih primerov dnevno. Delež pozitivnih je že nekaj časa rekorden. Verjetno do konca meseca rahlo padanje, potem pa močnejše.
Laboratoriji tokrat zmorejo več od povprečno 7-8000 PCR testov dnevno! Bravo!


Epidemija rahlo upada, R pada in je tik pod 1. Skupina 5-14 let nam zdaj pričakovano dviguje R, a umetno ga dviguje tudi podvojen obseg HAT testiranja od 8.11. dalje, po 17.11. pa tudi obvezno samotestiranje vseh ne-PC učencev v naših OŠ in SŠ.
Torej, delno se rast postopno preliva tudi v višje starostne skupine, ampak del te rasti je umeten zaradi podvojenega obsega HAT. Prekuževanje poteka hitro. R se bo zelo težko kaj bistveno dvignil, tudi vreme za naslednji teden dni ne kaže kakšnega posebnega vpliva na R. Omeniti je treba še to, da se zaradi trenutne situacije tudi ljudje sami obnašajo nekoliko bolj zaščitno, to pa spet znižuje R. Sem optimist, da bo R v kratkem 0.95, nekatere starostne skupine imajo že takega.

Vreme (rumena krivulja) v povprečju vse bolj deluje v smeri povečevanja R (pričakovano). V zadnjem času ni bilo nekih drastičnih sprememb temperature in vlage, zato v naslednjem tednu ni pričakovati večjih sprememb R iz tega naslova.

Hospitalizacije so po vmesnem platoju pri 400 hospitaliziranih ponovno naraščale, rast se zdaj zaustavlja, šle bodo verjetno vsaj do 1140.
Povprečno dnevno število umrlih je bilo po prvem vrhu pri 6.5/dan v zadnjem tednu septembra in v prvem tednu oktobra okoli 5/dan, potem pa v drugem tednu oktobra celo 3.5/dan. Nato je še pred pričetkom ponovne rasti sprejemov pričelo samo od sebe naraščati proti 9/dan. Vzrok za tak porast ni jasen, verjetno je šlo za neko statistično prekladanje podatkov med NIJZ in MZ, ali pa morda za preventivno čuvanje ICU postelj (delež ICU je padal), ne vem.
Zaradi rasti epidemije konec oktobra in v začetku novembra se zdaj dviguje tudi dnevno število umrlih. Predvidevam, da na nekje največ do povprečnega nivoja okoli 22/dan. Rizične skupine so zdaj res dobro imunizirane, popušča pa zaščita po cepljenju tistim prvim cepljenim v prvih letošnjih mesecih – teh je baje zato zdaj že kar nekaj v bolnišnicah, čeprav pogled okužb po starostnih skupinah pokaže, da recimo skupina 85+ ni nič kaj “podivjala”. Kar nekaj je tudi imunsko oslabljenih bolnikov.
Število smrti med neimunimi v 4. valu so že dolgo vnaprej določene za 500-700, a popuščanje zaščite in imunokompromitirani tu niso bili všteti. Zaščitenost od cepljenja je že popustila, in vsi se ne bodo takoj cepili s 3. odmerkom – zato bo večje, zdaj izgleda okoli 1500.

Med sprejetimi v ICU delež cepljenih ne naraste nad 30%, kar me rahlo preseneča. Zaradi poživitvenih odmerkov cepiva se naša trenutna povprečna učinkovitost zaščite od cepljenja že polagoma dviga.
Primer: 30% delež cepljenih od 80% cepljene rizične populacije da proti 70% deležu necepljenih v ICU od 20% necepljene rizične populacije (80/30)/(20/70)=9.33x boljšo zaščito cepljenih od necepljenih pred ICU obravnavo. Oziroma našo trenutno 1-1/9.33=89% učinkovitost cepiva pred ICU obravnavo.

Naš trenutni povprečni faktor boljše zaščite cepljenega od necepljenega za pristanek v ICU/EIT/EIZ je sčasoma padal, in zdaj znaša okoli 9. Za posameznika je kmalu po cepljenju z 2. ali 3. odmerkom ta faktor še bistveno višji.


nedelja 21.11.2021 ob 00:42 … preview: (zaenkrat samo pogled na včeraj izdane TAN kode – 2146 kod (157 manj kot prejšnjo soboto!), izgleda bo okoli 2200/5000 …)

3D grafi poteka epidemije po regijah in starostnih skupinah so na voljo v analizi iz sobote 20.11.2021.
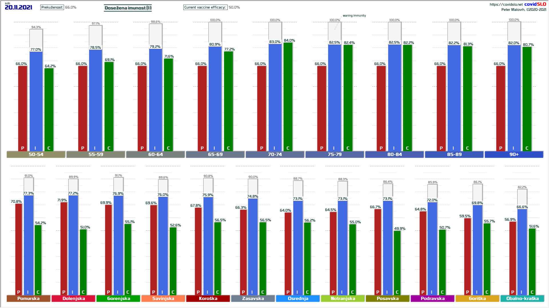
sobota 20.11.2021
Povzetek dnevne analize:
epidemija od 6.11. naprej ni več rasla ampak počasi padala, počasno padanje je lahko do začetka decembra, potem hitreje
odločilo bo, ali bo efekt končanja počitnic (upoštevan v projekcijah), ter koliko se bodo ljudje zdaj sami bolj zaščitno obnašali, nekaj pa tudi vreme
vreme je pokazalo veliko več moči od pričakovanega + premaknilo druženja v notranje prostore, AY podvariante delte pri nas baje še niso kaj dosti v igri
od 8.11. do 13.11. se je podvojil obseg HAT, zato med pozitivnimi ranga 200 dodatnih pozitivnih, R zato v resnici nekaj nižji kot kaže izračun
od 17.11. naprej poteka redno 3x tedensko samotestiranje šolarjev, to bo tudi imelo statističen efekt na višje število pozitivnih, a to ne pomeni rasti epidemije
R=0.98, vreme/šole/službe/univerze ga povečujejo, sprotna imunizacja deluje v nasprotno smer
bazen ljudi brez vsakršne imunosti (naive) okoli 15%, a zaradi popuščanja zaščite po cepljenju trenutno vseeno dovzetnih (susceptible) okoli 27%
povprečje javljenih primerov zadnjih 7 dni je 3233 (vmesni max je bil 17.9. pri 1045), NIJZ s korekcijami za nazaj 3221
2/1 SLO/EU zelenih občin, 2/1/0 občin brez primerov že vsaj 1/2/4 tedne
dosežena splošna skupna (kakršnakoli) imunost (upoštevani prekuženost in precepljenost, ter njun presek): 85.3% (popuščanje zaščite ni zajeto)
P ali C (ali oboje) starostnih skupin: 60-64: 99%, 65-69: 100%, 70-74: 100%, 75-79: 100%, 80-84: 100%, 85-89: 100%; 90+: 100%
dejanska trenutna imunost starostnih skupin: 60-64: 79%, 65-69: 81%, 70-74: 83%, 75-79: 82%, 80-84: 82%, 85-89: 82%; 90+: 82%
število novih sprejemov v bolnišnice ima vrh (incidence višjih st. skupin padajo!), je nekje na nivoju 110/dan
smrti so imele prvi vrh 24.9. pri 6/dan, po 14.10. so nenavadno porasle, trenutno jih je v povprečju 19/dan, rahla rast nekje do 7.12.
napoved okužb (tekoče 7d povprečje): imeli smo vmesni vrh 14.9. pri povprečno 1045 primerih dnevno, zdaj smo izgleda če čez glavni vrh 3338 6.11.2021
napoved hospitaliziranih: kot kaže je imel prvi vrh plato pri dobrih 400, potem rast in verjetno bo šlo do okoli 1150 26.11.2021
napoved ICU: vrh proti koncu novembra pri okoli 255, nazaj pod 200 do Božiča
napoved umrlih: 1500 (597 od tega jih je že bilo), po 4. valu skupno okoli 6100
napoved izpolnitve kriterijev za EU-rdečo: 16. januar 2022

Z epidemiološkim modelom v aplikaciji covidSLO poskušam modelirati situacijo, ko nam je R zaradi počitnic postopoma padel za neko vrednost, z zamikom dveh tednov pa se po koncu njih vrne za nekaj manjšo vrednost nazaj navzgor. Nazaj nekaj manj, ker se bo vmes bazen dovzetnih še nekoliko zmanjšal. Poleg tega modeliram tudi novoletni porast R za 0.20 in potem še njegov padec nazaj za 0.15. Štartam s trenutno izmerjenim R, upoštevana trenutna povprečna učinkovitost cepiva (učinkovitost zaščite posameznega cepljenja s časom upada) je 50%.



V skupini 5-14 let je viden porast pozitivnih primerov, več testiranja in zapoznela posledica konca počitnic. Rast ima tudi regija PD.

Smo na rekordnih vrednostih novih primerov dnevno. Delež pozitivnih je že nekaj časa rekorden. Verjetno do konca meseca rahlo padanje, potem pa bolj zares.
Laboratoriji tokrat zmorejo več od povprečno 7-8000 PCR testov dnevno! Bravo!


Epidemija rahlo upada, R pada in je tik pod 1. Skupina 5-14 let nam zdaj pričakovano dviguje R, a umetno ga dviguje tudi podvojen obseg HAT testiranja od 8.11. dalje, po 17.11. pa tudi obvezno samotestiranje vseh ne-PC učencev v naših OŠ in SŠ.
Torej, delno se bo rast postopno prelila tudi v višje starostne skupine (malo se že), ampak del te rasti je umeten zaradi podvojenega obsega HAT. Prekuževanje poteka hitro. R se bo zelo težko kaj bistveno dvignil, tudi vreme za naslednji teden dni ne kaže kakšnega posebnega vpliva na R. Omeniti je treba še to, da se zaradi trenutne situacije tudi ljudje sami obnašajo nekoliko bolj zaščitno, to pa spet znižuje R. Sem optimist, da bo R v kratkem 0.95, nekatere starostne skupine imajo že takega.

Vreme (rumena krivulja) v povprečju vse bolj deluje v smeri povečevanja R (pričakovano). V zadnjem času ni bilo nekih drastičnih sprememb temperature in vlage, zato v naslednjem tednu ni pričakovati večjih sprememb R iz tega naslova.

Hospitalizacije so po vmesnem platoju pri 400 hospitaliziranih ponovno naraščale, rast se zdaj zaustavlja, šle bodo verjetno vsaj do 1140.
Povprečno dnevno število umrlih je bilo po prvem vrhu pri 6.5/dan v zadnjem tednu septembra in v prvem tednu oktobra okoli 5/dan, potem pa v drugem tednu oktobra celo 3.5/dan. Nato je še pred pričetkom ponovne rasti sprejemov pričelo samo od sebe naraščati proti 9/dan. Vzrok za tak porast ni jasen, verjetno je šlo za neko statistično prekladanje podatkov med NIJZ in MZ, ali pa morda za preventivno čuvanje ICU postelj (delež ICU je padal), ne vem.
Zaradi rasti epidemije se zdaj dviguje tudi dnevno število umrlih. Predvidevam, da na nekje največ do povprečnega nivoja okoli 25/dan. Rizične skupine so zdaj res dobro imunizirane, popušča pa zaščita po cepljenju tistim prvim cepljenim v prvih letošnjih mesecih – teh je baje zato zdaj že kar nekaj v bolnišnicah, čeprav pogled okužb po starostnih skupinah pokaže, da recimo skupina 85+ ni nič kaj “podivjala”. Kar nekaj je tudi imunsko oslabljenih bolnikov.
Število smrti med neimunimi v 4. valu so že dolgo vnaprej določene za 500-700, a popuščanje zaščite in imunokompromitirani tu niso bili všteti. Zaščitenost od cepljenja je že popustila, in vsi se ne bodo takoj cepili s 3. odmerkom – zato bo večje, zdaj izgleda okoli 1500.

Med sprejetimi v ICU delež cepljenih ne naraste nad 30%, kar me rahlo preseneča. 30% delež cepljenih od 80% cepljene rizične populacije da proti 70% deležu necepljenih v ICU od 20% necepljene rizične populacije (80/30)/(20/70)=9.33x boljšo zaščito cepljenih od necepljenih pred ICU obravnavo. Oziroma našo trenutno 1-1/9.33=89% učinkovitost cepiva pred ICU obravnavo.

Naš trenutni povprečni faktor boljše zaščite cepljenega od necepljenega za pristanek v ICU/EIT/EIZ je sčasoma padal, in zdaj znaša okoli 9. Za posameznika je kmalu po cepljenju z 2. ali 3. odmerkom ta faktor še bistveno višji.








Skupina 85+ nima neke posebne rasti, ki bi jo lahko pripisali popuščanju zaščite od cepljenja.
Skupina 5-14 let je z nekaj časovnega zamika po koncu počitnic ter zaradi množičnega samotestiranja izskočila z incidenco. Zdaj se to postopoma že preliva tudi v druge skupine, a jim incidence še kljub temu padajo.

Če pogledamo skupino 5-14 let in jo primerjamo s preostalimi skupaj, vidimo, da ostale že lepo padajo. Lahko bi rekli, da je naš pravi trenutni R blizu teh 0.92.

Če pogledamo višje starostne skupine, imajo vse razen 45-54 let že padanje …

Če primerjamo skupino 45-54 let in jo primerjamo s preostalimi višjimi skupinami skupaj (55+), vidimo, da ostale padajo. Vse to se tudi lepo vidi na 3D grafih v nadaljevanju.


Na spodnjem diagramu celotnega poteka epidemije po starostnih skupinah je lepo vidno, kako je cepljenje v višjih starostnih skupinah preprečilo ponovitev lanske grozljive porazdelitve okužb, ki je imela za posledico veliko hospitalizacij in tudi smrti …

sobota 20.11.2021 ob 04:30 … preview: (zaenkrat samo pogled na včeraj izdane TAN kode – 2981 kod (273 manj kot prejšnji petek!), izgleda bo okoli 3400/7700 …)

petek 19.11.2021
Povzetek dnevne analize:
epidemija od 6.11. naprej ni več rasla ampak počasi padala, počasno padanje je lahko do začetka decembra, potem hitreje
odločilo bo, ali bo efekt končanja počitnic (upoštevan v projekcijah), ter koliko se bodo ljudje zdaj sami bolj zaščitno obnašali, nekaj pa tudi vreme
vreme je pokazalo veliko več moči od pričakovanega + premaknilo druženja v notranje prostore, AY podvariante delte pri nas baje še niso kaj dosti v igri
od 8.11. do 13.11. se je podvojil obseg HAT, zato med pozitivnimi ranga 200 dodatnih pozitivnih, R zato v resnici nekaj nižji kot kaže izračun
od 17.11. naprej poteka redno 3x tedensko samotestiranje šolarjev, to bo tudi imelo statističen efekt na višje število pozitivnih, a to ne pomeni rasti epidemije
nekaj več primerov v zadnjem času v starostni skupini 5-14 let ter OS in PD regiji
R=0.99, vreme/šole/službe/univerze ga povečujejo, sprotna imunizacja deluje v nasprotno smer
bazen ljudi brez vsakršne imunosti (naive) okoli 15%, a zaradi popuščanja zaščite po cepljenju trenutno vseeno dovzetnih (susceptible) okoli 28%
povprečje javljenih primerov zadnjih 7 dni je 3295 (vmesni max je bil 17.9. pri 1045), NIJZ s korekcijami za nazaj 3282
2/1 SLO/EU zelenih občin, 2/1/0 občin brez primerov že vsaj 1/2/4 tedne
dosežena splošna skupna (kakršnakoli) imunost (upoštevani prekuženost in precepljenost, ter njun presek): 85.0% (popuščanje zaščite ni zajeto)
P ali C (ali oboje) starostnih skupin: 60-64: 98%, 65-69: 100%, 70-74: 100%, 75-79: 100%, 80-84: 100%, 85-89: 100%; 90+: 100%
dejanska trenutna imunost starostnih skupin: 60-64: 79%, 65-69: 80%, 70-74: 83%, 75-79: 82%, 80-84: 82%, 85-89: 82%; 90+: 82%
število novih sprejemov v bolnišnice ima vrh (incidence višjih st. skupin padajo!), je nekje na nivoju 110/dan
smrti so imele prvi vrh 24.9. pri 6/dan, po 14.10. so nenavadno porasle, trenutno jih je v povprečju 19/dan, rahla rast nekje do 7.12.
napoved okužb (tekoče 7d povprečje): imeli smo vmesni vrh 14.9. pri povprečno 1045 primerih dnevno, zdaj smo izgleda če čez glavni vrh 3338 6.11.2021, zaradi povečanega obsega HAT gremo lahko čez
napoved hospitaliziranih: kot kaže je imel prvi vrh plato pri dobrih 400, potem rast in verjetno bo šlo do okoli 1160 25.11.2021
napoved ICU: vrh konec novembra pri okoli 265, nazaj pod 200 do Božiča
napoved umrlih: 1500 (597 od tega jih je že bilo), po 4. valu skupno okoli 6100
napoved izpolnitve kriterijev za EU-rdečo: 17. januar 2022

Z epidemiološkim modelom v aplikaciji covidSLO poskušam modelirati situacijo, ko nam je R zaradi počitnic postopoma padel za neko vrednost, z zamikom dveh tednov pa se po koncu njih vrne za nekaj manjšo vrednost nazaj navzgor. Nazaj nekaj manj, ker se bo vmes bazen dovzetnih še nekoliko zmanjšal. Poleg tega modeliram tudi novoletni porast R za 0.20 in potem še njegov padec nazaj za 0.15. Štartam s trenutno izmerjenim R, upoštevana trenutna povprečna učinkovitost cepiva (učinkovitost zaščite posameznega cepljenja s časom upada) je 50%.



V skupini 5-14 let je viden porast pozitivnih primerov, več testiranja in zapoznela posledica konca počitnic. Rast ima tudi regija PD.

Smo na rekordnih vrednostih novih primerov dnevno. Delež pozitivnih je že nekaj časa rekorden. Verjetno do konca meseca rahlo padanje, potem pa bolj zares.
Laboratoriji tokrat zmorejo več od povprečno 7-8000 PCR testov dnevno! Bravo!


Tempo rasti se upočasnjuje, R pada in je v bližini 1. Ker ga merimo za teden dni nazaj, imamo trenutno že rahlo padajočo epidemijo. Skupina 5-14 let nam zdaj pričakovano dviguje R, a umetno ga dviguje tudi podvojen obseg HAT testiranja od 8.11. dalje, po 17.11. pa tudi obvezno samotestiranje vseh ne-PC učencev v naših OŠ in SŠ.
Torej, delno se bo rast postopno prelila tudi v višje starostne skupine (malo se že), ampak del te rasti je umeten zaradi podvojenega obsega HAT. Prekuževanje poteka hitro. R se bo zelo težko kaj bistveno dvignil, tudi vreme za naslednji teden dni ne kaže kakšnega posebnega vpliva na R. Omeniti je treba še to, da se zaradi trenutne situacije tudi ljudje sami obnašajo nekoliko bolj zaščitno, to pa spet znižuje R. Sem optimist, da bo R v kratkem 0.95, nekatere starostne skupine imajo že takega.

Vreme (rumena krivulja) v povprečju vse bolj deluje v smeri povečevanja R (pričakovano) …

Hospitalizacije po vmesnem platoju pri 400 hospitaliziranih ponovno naraščajo, šle bodo verjetno vsaj do 1160.
Povprečno dnevno število umrlih je bilo po prvem vrhu pri 6.5/dan v zadnjem tednu septembra in v prvem tednu oktobra okoli 5/dan, potem pa v drugem tednu oktobra celo 3.5/dan. Nato je še pred pričetkom ponovne rasti sprejemov pričelo samo od sebe naraščati proti 9/dan. Vzrok za tak porast ni jasen, verjetno je šlo za neko statistično prekladanje podatkov med NIJZ in MZ, ali pa morda za preventivno čuvanje ICU postelj (delež ICU je padal), ne vem.
Zaradi rasti epidemije se zdaj dviguje tudi dnevno število umrlih. Predvidevam, da na nekje največ do povprečnega nivoja okoli 25/dan. Rizične skupine so zdaj res dobro imunizirane, popušča pa zaščita po cepljenju tistim prvim cepljenim v prvih letošnjih mesecih – teh je baje zato zdaj že kar nekaj v bolnišnicah, čeprav pogled okužb po starostnih skupinah pokaže, da recimo skupina 85+ ni nič kaj “podivjala”. Kar nekaj je tudi imunsko oslabljenih bolnikov.
Število smrti med neimunimi v 4. valu so že dolgo vnaprej določene za 500-700, a popuščanje zaščite in imunokompromitirani tu niso bili všteti. Zaščitenost od cepljenja je že popustila, in vsi se ne bodo takoj cepili s 3. odmerkom – zato bo večje, zdaj izgleda okoli 1500.

Med sprejetimi v ICU delež cepljenih ne naraste nad 30%, kar me rahlo preseneča. 30% delež cepljenih od 80% cepljene rizične populacije da proti 70% deležu necepljenih v ICU od 20% necepljene rizične populacije (80/30)/(20/70)=9.33x boljšo zaščito cepljenih od necepljenih pred ICU obravnavo. Oziroma našo trenutno 1-1/9.33=89% učinkovitost cepiva pred ICU obravnavo.

Naš trenutni povprečni faktor boljše zaščite cepljenega od necepljenega za pristanek v ICU/EIT/EIZ je sčasoma padal, in zdaj znaša okoli 9. Za posameznika je kmalu po cepljenju z 2. ali 3. odmerkom ta faktor še bistveno višji.








Skupina 85+ nima neke posebne rasti, ki bi jo lahko pripisali popuščanju zaščite od cepljenja.
Skupina 5-14 let je z nekaj časovnega zamika po koncu počitnic ter zaradi množičnega samotestiranja izskočila z incidenco. Zdaj se to postopoma že preliva tudi v druge skupine, a jim incidence še kljub temu padajo.

Če pogledamo skupino 5-14 let in jo primerjamo s preostalimi skupaj, vidimo, da ostale že padajo …

Če pogledamo višje starostne skupine, imajo vse razen 45-54 let že padanje …

Če primerjamo skupino 45-54 let in jo primerjamo s preostalimi višjimi skupinami skupaj (55+), vidimo, da ostale padajo. Vse to se tudi lepo vidi na 3D grafih v nadaljevanju.


Na spodnjem diagramu celotnega poteka epidemije po starostnih skupinah je lepo vidno, kako je cepljenje v višjih starostnih skupinah preprečilo ponovitev lanske grozljive porazdelitve okužb, ki je imela za posledico veliko hospitalizacij in tudi smrti …

četrtek 18.11.2021
Povzetek dnevne analize:
epidemija od 6.11. naprej ni več rasla ampak počasi padala, počasno padanje je lahko do začetka decembra
odločilo bo, ali bo efekt končanja počitnic (upoštevan v projekcijah), ter koliko se bodo ljudje zdaj sami bolj zaščitno obnašali, nekaj pa tudi vreme
vreme je pokazalo veliko več moči od pričakovanega + premaknilo druženja v notranje prostore, AY podvariante delte pri nas baje še niso v igri
od 8.11. do 13.11. se je podvojil obseg HAT, zato med pozitivnimi ranga 200 dodatnih pozitivnih, R zato v resnici nekaj nižji kot kaže izračun
od 17.11. naprej poteka redno 3x tedensko samotestiranje šolarjev, to bo tudi imelo statističen efekt na višje število pozitivnih, a to ne pomeni rasti epidemije
nekaj več primerov v zadnjem času v starostni skupini 5-14 let ter OS in PD regiji
R=1.00, vreme/šole/službe/univerze ga povečujejo, sprotna imunizacja deluje v nasprotno smer
bazen ljudi brez vsakršne imunosti (naive) okoli 15%, a zaradi popuščanja zaščite po cepljenju trenutno vseeno dovzetnih (susceptible) okoli 29%
povprečje javljenih primerov zadnjih 7 dni je 3283 (vmesni max je bil 17.9. pri 1045), NIJZ s korekcijami za nazaj 3269
2/0 SLO/EU zelenih občin, 2/0/0 občin brez primerov že vsaj 1/2/4 tedne
dosežena splošna skupna (kakršnakoli) imunost (upoštevani prekuženost in precepljenost, ter njun presek): 84.7% (popuščanje zaščite ni zajeto)
P ali C (ali oboje) starostnih skupin: 60-64: 98%, 65-69: 100%, 70-74: 100%, 75-79: 100%, 80-84: 100%, 85-89: 100%; 90+: 100%
dejanska trenutna imunost starostnih skupin: 60-64: 78%, 65-69: 80%, 70-74: 82%, 75-79: 82%, 80-84: 82%, 85-89: 81%; 90+: 81%
rast števila novih sprejemov v bolnišnice se upočasnjuje (incidence višjih st. skupin padajo!), je nekje na nivoju 110/dan, vrh sprejemov je že ali bo v par dneh
smrti so imele prvi vrh 24.9. pri 6/dan, po 14.10. so nenavadno porasle, trenutno jih je v povprečju 18/dan, rahla rast do konca novembra
napoved okužb (tekoče 7d povprečje): imeli smo vmesni vrh 14.9. pri povprečno 1045 primerih dnevno, zdaj smo izgleda če čez glavni vrh 3338 6.11.2021, zaradi povečanega obsega HAT gremo lahko čez
napoved hospitaliziranih: kot kaže je imel prvi vrh plato pri dobrih 400, potem rast in verjetno bo šlo do okoli 1160 26.11.2021
napoved ICU: vrh konec novembra pri okoli 270, pod 200 do Božiča
napoved umrlih: 1500 (575 od tega jih je že bilo), po 4. valu skupno okoli 6100
napoved izpolnitve kriterijev za EU-rdečo: 17. januar 2022
pred delto sta najbolje zaščiteni Koroška in Pomurska, najslabše Obalno-kraška (15% slabše!) … zelo v skladu s tem se v 4. valu gibajo incidence primerov!!


Z epidemiološkim modelom v aplikaciji covidSLO poskušam modelirati situacijo, ko nam je R zaradi počitnic postopoma padel za neko vrednost, z zamikom dveh tednov pa se po koncu njih vrne za nekaj manjšo vrednost nazaj navzgor. Nazaj nekaj manj, ker se bo vmes bazen dovzetnih še nekoliko zmanjšal. Poleg tega modeliram tudi novoletni porast R za 0.20 in potem še njegov padec nazaj za 0.15. Štartam s trenutno izmerjenim R, upoštevana trenutna povprečna učinkovitost cepiva (učinkovitost zaščite posameznega cepljenja s časom upada) je 50%. Koliko se bo dejansko stanje v resnici ujemalo s to projekcijo, bo povedalo dejansko stanje, ne projekcija.



V skupini 5-14 let je viden porast okužb, zapoznela posledica konca počitnic. Rast pospešuje tudi regija PD.

Smo na rekordnih vrednostih novih primerov dnevno. Delež pozitivnih je že nekaj časa rekorden.
Laboratoriji tokrat zmorejo več od povprečno 7-8000 PCR testov dnevno! Bravo!


Tempo rasti se upočasnjuje, R pada in je v bližini 1. Ker ga merimo za teden dni nazaj, imamo trenutno že rahlo padajočo epidemijo. Skupina 5-14 let nam zdaj pričakovano dviguje R, a umetno ga dviguje tudi podvojen obseg HAT testiranja od 8.11. dalje, po 17.11. pa tudi obvezno samotestiranje vseh ne-PC učencev v naših OŠ in SŠ.
Torej, delno se bo rast postopno prelila tudi v višje starostne skupine (malo se že), ampak del te rasti je umeten zaradi podvojenega obsega HAT. Prekuževanje poteka hitro. R se bo zelo težko kaj bistveno dvignil, tudi vreme za naslednji teden dni ne kaže kakšnega posebnega vpliva na R. Omeniti je treba še to, da se zaradi trenutne situacije tudi ljudje sami obnašajo nekoliko bolj zaščitno, to pa spet znižuje R. Sem optimist, da bo R v kratkem 0.95.

Vreme (rumena krivulja) v povprečju vse bolj deluje v smeri povečevanja R (pričakovano) …

Hospitalizacije po vmesnem platoju pri 400 hospitaliziranih ponovno naraščajo, šle bodo verjetno vsaj do 1160.
Povprečno dnevno število umrlih je bilo po prvem vrhu pri 6.5/dan v zadnjem tednu septembra in v prvem tednu oktobra okoli 5/dan, potem pa v drugem tednu oktobra celo 3.5/dan. Nato je še pred pričetkom ponovne rasti sprejemov pričelo samo od sebe naraščati proti 9/dan. Vzrok za tak porast ni jasen, verjetno je šlo za neko statistično prekladanje podatkov med NIJZ in MZ, ali pa morda za preventivno čuvanje ICU postelj (delež ICU je padal), ne vem.
Zaradi rasti epidemije se zdaj dviguje tudi dnevno število umrlih. Predvidevam, da na nekje največ do povprečnega nivoja 20-30/dan, zaradi težkih razmer v bolnišnicah verjetno lahko tudi nekaj čez. Rizične skupine so zdaj res dobro imunizirane, popušča pa zaščita po cepljenju tistim prvim cepljenim v prvih letošnjih mesecih – teh je baje zato zdaj že kar nekaj v bolnišnicah, čeprav pogled okužb po starostnih skupinah pokaže, da recimo skupina 85+ ni nič kaj “podivjala”. Kar nekaj je tudi imunsko oslabljenih bolnikov.
Število smrti med neimunimi v 4. valu so že dolgo vnaprej določene za 500-700, a popuščanje zaščite in imunokompromitirani tu niso bili všteti. Zaščitenost od cepljenja je že popustila, in vsi se ne bodo takoj cepili s 3. odmerkom – zato bo večje, verjetno okoli 1500.

Med sprejetimi v ICU delež cepljenih ne naraste nad 30%, kar me rahlo preseneča. 30% delež cepljenih od 80% cepljene rizične populacije da proti 70% deležu necepljenih v ICU od 20% necepljene rizične populacije (80/30)/(20/70)=9.33x boljšo zaščito cepljenih od necepljenih pred ICU obravnavo. Oziroma našo trenutno 1-1/9.33=89% učinkovitost cepiva pred ICU obravnavo.

Naš trenutni povprečni faktor boljše zaščite cepljenega od necepljenega za pristanek v ICU/EIT/EIZ je sčasoma padal, in zdaj znaša okoli 9. Za posameznika je kmalu po cepljenju z 2. ali 3. odmerkom ta faktor še bistveno višji.


Glede razvoja epidemije v regijah in starostnih skupinah se v zadnjem dnevu ni nič posebnega zgodilo, zato predlagam ogled živopisnih in celo 3D grafov v analizi iz 16.11.2021.
sreda 17.11.2021
Povzetek dnevne analize:
epidemija od 6.11. naprej ni več rasla ampak počasi padala, počasno padanje je lahko do začetka decembra
odločilo bo, ali bo efekt končanja počitnic (upoštevan v projekcijah), ter koliko se bodo ljudje zdaj sami bolj zaščitno obnašali, nekaj pa tudi vreme
vreme je pokazalo veliko več moči od pričakovanega + premaknilo druženja v notranje prostore, AY podvariante delte pri nas baje še niso v igri
od 8.11. do 13.11. se je podvojil obseg HAT, zato med pozitivnimi ranga 200 dodatnih pozitivnih, R zato v resnici nekaj nižji kot kaže izračun
od 17.11. naprej poteka redno 3x tedensko samotestiranje šolarjev, to bo tudi imelo statističen efekt na višje število pozitivnih, a to ne pomeni rasti epidemije
nekaj več primerov v zadnjem času v starostni skupini 5-14 let ter OS in PD regiji
R=1.00, vreme/šole/službe/univerze ga povečujejo, sprotna imunizacja deluje v nasprotno smer
bazen ljudi brez vsakršne imunosti (naive) okoli 15%, a zaradi popuščanja zaščite po cepljenju trenutno vseeno dovzetnih (susceptible) okoli 29%
povprečje javljenih primerov zadnjih 7 dni je 3269 (vmesni max je bil 17.9. pri 1045), NIJZ s korekcijami za nazaj 3255
2/0 SLO/EU zelenih občin, 2/0/0 občin brez primerov že vsaj 1/2/4 tedne
dosežena splošna skupna (kakršnakoli) imunost (upoštevani prekuženost in precepljenost, ter njun presek): 84.5% (popuščanje zaščite ni zajeto)
P ali C (ali oboje) starostnih skupin: 60-64: 98%, 65-69: 100%, 70-74: 100%, 75-79: 100%, 80-84: 100%, 85-89: 100%; 90+: 100%
dejanska trenutna imunost starostnih skupin: 60-64: 78%, 65-69: 80%, 70-74: 82%, 75-79: 81%, 80-84: 81%, 85-89: 81%; 90+: 81%
rast števila novih sprejemov v bolnišnice se upočasnjuje, je nekje na nivoju 110/dan, vrh sprejemo bo v par dneh
smrti so imele prvi vrh 24.9. pri 6/dan, po 14.10. so nenavadno porasle, trenutno jih je v povprečju 18/dan, rahla rast do konca novembra
napoved okužb (tekoče 7d povprečje): imeli smo vmesni vrh 14.9. pri povprečno 1045 primerih dnevno, zdaj smo izgleda če čez glavni vrh 3338 6.11.2021, zaradi povečanega obsega HAT gremo lahko čez
napoved hospitaliziranih: kot kaže je imel prvi vrh plato pri dobrih 400, potem rast in verjetno bo šlo do okoli 1150
napoved ICU: do sredine decembra 240-260, vrh konec novembra pri okoli 265
napoved umrlih: 1500 (515 od tega jih je že bilo), po 4. valu skupno okoli 6100
napoved izpolnitve kriterijev za EU-rdečo: 20. januar 2022
pred delto sta najbolje zaščiteni Koroška in Pomurska, najslabše Obalno-kraška (15% slabše!) … zelo v skladu s tem se v 4. valu gibajo incidence primerov!!


Z epidemiološkim modelom v aplikaciji covidSLO poskušam modelirati situacijo, ko nam je R zaradi počitnic postopoma padel za neko vrednost, z zamikom dveh tednov pa se po koncu njih vrne za nekaj manjšo vrednost nazaj navzgor. Nazaj nekaj manj, ker se bo vmes bazen dovzetnih še nekoliko zmanjšal. Poleg tega modeliram tudi novoletni porast R za 0.20 in potem še njegov padec nazaj za 0.15. Štartam s trenutno izmerjenim R, upoštevana trenutna povprečna učinkovitost cepiva (učinkovitost zaščite posameznega cepljenja s časom upada) je 50%. Koliko se bo dejansko stanje v resnici ujemalo s to projekcijo, bo povedalo dejansko stanje, ne projekcija.



V skupini 5-14 let je viden porast okužb, zapoznela posledica konca počitnic. Rast pospešuje tudi regija PD.

Smo na rekordnih vrednostih novih primerov dnevno. Delež pozitivnih je že nekaj časa rekorden.
Laboratoriji tokrat zmorejo več od povprečno 7-8000 PCR testov dnevno! Bravo!


Tempo rasti se upočasnjuje, R pada in je v bližini 1. Ker ga merimo za teden dni nazaj, imamo trenutno že rahlo padajočo epidemijo. Skupina 5-14 let nam zdaj pričakovano dviguje R, a umetno ga dviguje tudi podvojen obseg HAT testiranja od 8.11. dalje, po 17.11. pa tudi obvezno samotestiranje vseh ne-PC učencev v naših OŠ in SŠ.
Torej, delno se bo rast postopno prelila tudi v višje starostne skupine (malo se že), ampak del te rasti je umeten zaradi podvojenega obsega HAT. Prekuževanje poteka hitro. R se bo zelo težko kaj bistveno dvignil, tudi vreme za naslednji teden dni ne kaže kakšnega posebnega vpliva na R. Omeniti je treba še to, da se zaradi trenutne situacije tudi ljudje sami obnašajo nekoliko bolj zaščitno, to pa spet znižuje R. Sem optimist, da bo R v kratkem 0.95.

Vreme (rumena krivulja) v povprečju vse bolj deluje v smeri povečevanja R (pričakovano) …

Hospitalizacije po vmesnem platoju pri 400 hospitaliziranih ponovno naraščajo, šle bodo verjetno vsaj do 1150.
Povprečno dnevno število umrlih je bilo po prvem vrhu pri 6.5/dan v zadnjem tednu septembra in v prvem tednu oktobra okoli 5/dan, potem pa v drugem tednu oktobra celo 3.5/dan. Nato je še pred pričetkom ponovne rasti sprejemov pričelo samo od sebe naraščati proti 9/dan. Vzrok za tak porast ni jasen, verjetno je šlo za neko statistično prekladanje podatkov med NIJZ in MZ, ali pa morda za preventivno čuvanje ICU postelj (delež ICU je padal), ne vem.
Zaradi rasti epidemije se zdaj dviguje tudi dnevno število umrlih. Predvidevam, da na nekje največ do povprečnega nivoja 20-30/dan, zaradi težkih razmer v bolnišnicah verjetno lahko tudi nekaj čez. Rizične skupine so zdaj res dobro imunizirane, popušča pa zaščita po cepljenju tistim prvim cepljenim v prvih letošnjih mesecih – teh je baje zato zdaj že kar nekaj v bolnišnicah, čeprav pogled okužb po starostnih skupinah pokaže, da recimo skupina 85+ ni nič kaj “podivjala”. Kar nekaj je tudi imunsko oslabljenih bolnikov.
Število smrti med neimunimi v 4. valu so že dolgo vnaprej določene za 500-700, a popuščanje zaščite in imunokompromitirani tu niso bili všteti. Zaščitenost od cepljenja je že popustila, in vsi se ne bodo takoj cepili s 3. odmerkom – zato bo večje, verjetno okoli 1500.

Med sprejetimi v ICU delež cepljenih ne naraste nad 30%, kar me rahlo preseneča. 30% delež cepljenih od 80% cepljene rizične populacije da proti 70% deležu necepljenih v ICU od 20% necepljene rizične populacije (80/30)/(20/70)=9.33x boljšo zaščito cepljenih od necepljenih pred ICU obravnavo. Oziroma našo trenutno 1-1/9.33=89% učinkovitost cepiva pred ICU obravnavo.

Naš trenutni povprečni faktor boljše zaščite cepljenega od necepljenega za pristanek v ICU/EIT/EIZ je sčasoma padal, in zdaj znaša okoli 9. Za posameznika je kmalu po cepljenju z 2. ali 3. odmerkom ta faktor še bistveno višji.


Glede razvoja epidemije v regijah in starostnih skupinah se v zadnjem dnevu ni nič posebnega zgodilo, zato predlagam ogled živopisnih in celo 3D grafov v analizi iz 16.11.2021.
torek 16.11.2021
Povzetek dnevne analize:
epidemija od 6.11. naprej ni več rasla ampak počasi padala, počasno padanje je lahko do začetka decembra
odločilo bo, ali bo efekt končanja počitnic (upoštevan v projekcijah), ter koliko se bodo ljudje zdaj sami bolj zaščitno obnašali, nekaj pa tudi vreme
vreme je pokazalo veliko več moči od pričakovanega + premaknilo druženja v notranje prostore, AY podvariante delte pri nas baje še niso v igri
od 8.11. do 13.11. se je podvojil obseg HAT, zato med pozitivnimi ranga 200 dodatnih pozitivnih, R zato v resnici nekaj nižji kot kaže izračun
rast poganjajo starostna skupina 5-14 let ter OS in PD regiji
R=1.02, vreme/šole/službe/univerze ga povečujejo, sprotna imunizacja deluje v nasprotno smer
bazen ljudi brez vsakršne imunosti (naive) okoli 16%, a zaradi popuščanja zaščite po cepljenju trenutno vseeno dovzetnih (susceptible) okoli 29%
povprečje javljenih primerov zadnjih 7 dni je 3298 (vmesni max je bil 17.9. pri 1045), NIJZ s korekcijami za nazaj 3284
1/0 SLO/EU zelenih občin, 1/0/0 občin brez primerov že vsaj 1/2/4 tedne
dosežena splošna skupna (kakršnakoli) imunost (upoštevani prekuženost in precepljenost, ter njun presek): 84.1% (popuščanje zaščite ni zajeto)
P ali C (ali oboje) starostnih skupin: 60-64: 97%, 65-69: 100%, 70-74: 100%, 75-79: 100%, 80-84: 100%, 85-89: 100%; 90+: 100%
dejanska imunost starostnih skupin: 60-64: 78%, 65-69: 79%, 70-74: 81%, 75-79: 81%, 80-84: 81%, 85-89: 80%; 90+: 80%
rast števila novih sprejemov v bolnišnice se upočasnjuje, je nekje na nivoju 110/dan
smrti so imele prvi vrh 24.9. pri 6/dan, po 14.10. so nenavadno porasle, trenutno jih je v povprečju 18/dan
napoved okužb (tekoče 7d povprečje): imeli smo vmesni vrh 14.9. pri povprečno 1045 primerih dnevno, zdaj smo izgleda če čez glavni vrh 3338 6.11.2021, zaradi povečanega obsega HAT gremo lahko čez
napoved hospitaliziranih: kot kaže je imel prvi vrh plato pri dobrih 400, potem rast in verjetno bo šlo do okoli 1150
napoved ICU: cela druga polovica novembra pri okoli 240-250
napoved umrlih: 1500 (515 od tega jih je že bilo), po 4. valu skupno okoli 6100
napoved izpolnitve kriterijev za EU-rdečo: 20. januar 2022
pred delto sta najbolje zaščiteni Koroška in Pomurska, najslabše Obalno-kraška (15% slabše!) … zelo v skladu s tem se v 4. valu gibajo incidence primerov!!


Z epidemiološkim modelom v aplikaciji covidSLO poskušam modelirati situacijo, ko nam je R zaradi počitnic postopoma padel za neko vrednost, z zamikom dveh tednov pa se po koncu njih vrne za nekaj manjšo vrednost nazaj navzgor. Nazaj nekaj manj, ker se bo vmes bazen dovzetnih še nekoliko zmanjšal. Poleg tega modeliram tudi novoletni porast R za 0.20 in potem še njegov padec nazaj za 0.15. Štartam s trenutno izmerjenim R. Koliko se bo dejansko stanje v resnici ujemalo s to projekcijo, bo povedalo dejansko stanje, ne projekcija.



Dodajam virtualni/hipotetični scenarij, ko bi se recimo do jutri zjutraj cepili vsi preostali necepljeni državljani. Precepljenost bi čez noč poskočila na 100% (drugače vemo, da se vsi itak ne morejo cepiti). Učinkovitost cepiva seveda še vedno ostane na sedanjih 50%. Smrti bi bilo 300-400 manj, v EU-rdeči pa bi bili nazaj že mesec dni prej (sredina decembra).

Pa še podoben virtualen scenarij, če bi se 100% precepljenost zgodila v noči na 1.9.2021. V bistvu bi se pravi 4. val pričel šele decembra, vrh bi bil v januarju, a bil bi precej nižji od našega trenutnega, in vsi parametri bi bili precej boljši.

V skupini 5-14 let je viden porast okužb, zapoznela posledica konca počitnic. Rast pospešujeta tudi regiji OS in PD.

Smo na rekordnih vrednostih novih primerov dnevno. Delež pozitivnih je že nekaj časa rekorden.
Laboratoriji tokrat zmorejo več od povprečno 7-8000 PCR testov dnevno! Bravo!


Tempo rasti se upočasnjuje, R pada in je v bližini 1. Ker ga merimo za teden dni nazaj, imamo trenutno že rahlo padajočo epidemijo. Skupina 5-14 let nam zdaj pričakovano dviguje R, a umetno ga dviguje tudi podvojen obseg HAT testiranja od 8.11. dalje.
Torej, delno se bo rast postopno prelila tudi v višje starostne skupine (malo se že), ampak del te rasti je umeten zaradi podvojenega obsega HAT. Prekuževanje poteka hitro. R se bo zelo težko kaj bistveno dvignil, tudi vreme za naslednji teden dni ne kaže kakšnega posebnega vpliva na R. Omeniti je treba še to, da se zaradi trenutne situacije tudi ljudje sami obnašajo nekoliko bolj zaščitno, to pa spet znižuje R. Sem optimist, da bo R v kratkem 0.95.

Vreme (rumena krivulja) v povprečju vse bolj deluje v smeri povečevanja R (pričakovano) …

Hospitalizacije po vmesnem platoju pri 400 hospitaliziranih ponovno naraščajo, šle bodo verjetno vsaj do 1150.
Povprečno dnevno število umrlih je bilo po prvem vrhu pri 6.5/dan v zadnjem tednu septembra in v prvem tednu oktobra okoli 5/dan, potem pa v drugem tednu oktobra celo 3.5/dan. Nato je še pred pričetkom ponovne rasti sprejemov pričelo samo od sebe naraščati proti 9/dan. Vzrok za tak porast ni jasen, verjetno je šlo za neko statistično prekladanje podatkov med NIJZ in MZ, ali pa morda za preventivno čuvanje ICU postelj (delež ICU je padal), ne vem.
Zaradi rasti epidemije se zdaj dviguje tudi dnevno število umrlih. Predvidevam, da na nekje največ do povprečnega nivoja 20-30/dan, zaradi težkih razmer v bolnišnicah verjetno lahko tudi nekaj čez. Rizične skupine so zdaj res dobro imunizirane, popušča pa zaščita po cepljenju tistim prvim cepljenim v prvih letošnjih mesecih – teh je baje zato zdaj že kar nekaj v bolnišnicah, čeprav pogled okužb po starostnih skupinah pokaže, da recimo skupina 85+ ni nič kaj “podivjala”. Kar nekaj je tudi imunsko oslabljenih bolnikov.
Število smrti med neimunimi v 4. valu so že dolgo vnaprej določene za 500-700, a popuščanje zaščite in imunokompromitirani tu niso bili všteti. Zaščitenost od cepljenja je že popustila, in vsi se ne bodo takoj cepili s 3. odmerkom – zato bo večje, verjetno okoli 1500.

Med sprejetimi v ICU delež cepljenih ne naraste nad 30%, kar me rahlo preseneča. 30% delež cepljenih od 80% cepljene rizične populacije da proti 70% deležu necepljenih v ICU od 20% necepljene rizične populacije (80/30)/(20/70)=9.33x boljšo zaščito cepljenih od necepljenih pred ICU obravnavo. Oziroma našo trenutno 1-1/9.33=89% učinkovitost cepiva pred ICU obravnavo.

Naš trenutni povprečni faktor boljše zaščite cepljenega od necepljenega za pristanek v ICU/EIT/EIZ je sčasoma padal, in zdaj znaša okoli 9. Za posameznika je kmalu po cepljenju z 2. ali 3. odmerkom ta faktor še bistveno višji.








Skupina 85+ nima neke posebne rasti, ki bi jo lahko pripisali popuščanju zaščite od cepljenja.
Skupina 5-14 let je z nekaj časovnega zamika po koncu počitnic izskočila z incidenco, zdaj se to postopoma že preliva tudi v druge skupine.


Na spodnjem diagramu celotnega poteka epidemije po starostnih skupinah je lepo vidno, kako je cepljenje v višjih starostnih skupinah preprečilo ponovitev lanske grozljive porazdelitve okužb, ki je imela za posledico veliko hospitalizacij in tudi smrti …

ponedeljek 15.11.2021
Povzetek dnevne analize:
epidemija od 6.11. naprej ni več rasla ampak počasi padala, počasno padanje je lahko do začetka decembra
odločilo bo, ali bo efekt končanja počitnic (upoštevan v projekcijah), ter koliko se bodo ljudje zdaj sami bolj zaščitno obnašali, nekaj pa tudi vreme
vreme je pokazalo veliko več moči od pričakovanega + premaknilo druženja v notranje prostore, AY podvariante delte pri nas baje še niso v igri
od 8.11. do 13.11. se je podvojil obseg HAT, zato med pozitivnimi ranga 200 dodatnih pozitivnih, R zato v resnici nekaj nižji
v nedeljo višja številka, to pripisujem povečanemu obsegu hitrega testiranja + 300 primerov viška je bilo samo v OS regiji!
R=1.01, vreme/šole/službe/univerze ga povečujejo, sprotna imunizacja deluje v nasprotno smer
bazen ljudi brez vsakršne imunosti (naive) okoli 16%, a zaradi popuščanja zaščite po cepljenju trenutno vseeno dovzetnih (susceptible) okoli 30%
povprečje javljenih primerov zadnjih 7 dni je 3239 (vmesni max je bil 17.9. pri 1045), NIJZ s korekcijami za nazaj 3224
1/0 SLO/EU zelenih občin, 1/0/0 občin brez primerov že vsaj 1/2/4 tedne
dosežena splošna skupna (kakršnakoli) imunost (upoštevani prekuženost in precepljenost, ter njun presek): 83.7% (popuščanje zaščite ni zajeto)
P ali C (ali oboje) starostnih skupin: 60-64: 97%, 65-69: 100%, 70-74: 100%, 75-79: 100%, 80-84: 100%, 85-89: 100%; 90+: 100%
dejanska imunost starostnih skupin: 60-64: 77%, 65-69: 79%, 70-74: 81%, 75-79: 80%, 80-84: 80%, 85-89: 80%; 90+: 80%
rast števila novih sprejemov v bolnišnice se upočasnjuje, je nekje na nivoju 110/dan
smrti so imele prvi vrh 24.9. pri 6/dan, po 14.10. so nenavadno porasle, trenutno jih je v povprečju 18/dan
napoved okužb (tekoče 7d povprečje): imeli smo vmesni vrh 14.9. pri povprečno 1045 primerih dnevno, zdaj smo izgleda če čez glavni vrh 3338 6.11.2021, zaradi povečanega obsega HAT gremo lahko čez
napoved hospitaliziranih: kot kaže je imel prvi vrh plato pri dobrih 400, potem rast in verjetno bo šlo do okoli 1100
napoved ICU: cela druga polovica novembra pri okoli 240-250
napoved umrlih: 1500 (515 od tega jih je že bilo), po 4. valu skupno okoli 6100
napoved izpolnitve kriterijev za EU-rdečo: 20. januar 2022
pred delto sta najbolje zaščiteni Koroška in Pomurska, najslabše Obalno-kraška (15% slabše!) … zelo v skladu s tem se v 4. valu gibajo incidence primerov!!


Z epidemiološkim modelom v aplikaciji covidSLO poskušam modelirati situacijo, ko nam je R zaradi počitnic postopoma padel za neko vrednost, z zamikom dveh tednov pa se po koncu njih vrne za nekaj manjšo vrednost nazaj navzgor. Nazaj nekaj manj, ker se bo vmes bazen dovzetnih še nekoliko zmanjšal. Poleg tega modeliram tudi novoletni porast R za 0.20 in potem še njegov padec nazaj za 0.15. Štartam s trenutno izmerjenim R. Koliko se bo dejansko stanje v resnici ujemalo s to projekcijo, bo povedalo dejansko stanje, ne projekcija.



V skupini 5-14 let je viden porast okužb, zapoznela posledica konca počitnic.

Smo na rekordnih vrednostih novih primerov dnevno. Delež pozitivnih je že nekaj časa rekorden.
Laboratoriji tokrat zmorejo več od povprečno 7-8000 PCR testov dnevno! Bravo!


Tempo rasti se upočasnjuje, R pada. Ker ga merimo za teden dni nazaj, imamo trenutno že rahlo padajočo epidemijo. Skupina 5-14 let nam zdaj pričakovano dviguje R, a umetno ga dviguje tudi podvojen obseg HAT testiranja od 8.11. dalje.
Torej, delno se bo rast postopno prelila tudi v višje starostne skupine, ampak del te rasti je umeten zaradi podvojenega obsega HAT. Prekuževanje poteka hitro. R se bo zelo težko kaj bistveno dvignil, tudi vreme za naslednji teden dni ne kaže kakšnega posebnega vpliva na R. Omeniti je treba še to, da se zaradi trenutne situacije tudi ljudje sami obnašajo nekoliko bolj zaščitno, to pa spet znižuje R. Sem optimist, da bo R v kratkem 0.95.

Vreme (rumena krivulja) v povprečju vse bolj deluje v smeri povečevanja R (pričakovano) …

Hospitalizacije po vmesnem platoju pri 400 hospitaliziranih ponovno naraščajo, šle bodo verjetno vsaj do 1100.
Povprečno dnevno število umrlih je bilo po prvem vrhu pri 6.5/dan v zadnjem tednu septembra in v prvem tednu oktobra okoli 5/dan, potem pa v drugem tednu oktobra celo 3.5/dan. Nato je še pred pričetkom ponovne rasti sprejemov pričelo samo od sebe naraščati proti 9/dan. Vzrok za tak porast ni jasen, verjetno je šlo za neko statistično prekladanje podatkov med NIJZ in MZ, ali pa morda za preventivno čuvanje ICU postelj (delež ICU je padal), ne vem.
Zaradi rasti epidemije se zdaj dviguje tudi dnevno število umrlih. Predvidevam, da na nekje največ do povprečnega nivoja 20-30/dan, zaradi težkih razmer v bolnišnicah verjetno lahko tudi nekaj čez. Rizične skupine so zdaj res dobro imunizirane, popušča pa zaščita po cepljenju tistim prvim cepljenim v prvih letošnjih mesecih – teh je baje zato zdaj že kar nekaj v bolnišnicah, čeprav pogled okužb po starostnih skupinah pokaže, da recimo skupina 85+ ni nič kaj “podivjala”. Kar nekaj je tudi imunsko oslabljenih bolnikov.
Število smrti med neimunimi v 4. valu so že dolgo vnaprej določene za 500-700, a popuščanje zaščite in imunokompromitirani tu niso bili všteti. Zaščitenost od cepljenja je že popustila, in vsi se ne bodo takoj cepili s 3. odmerkom – zato bo večje, verjetno okoli 1500.

Med sprejetimi v ICU delež cepljenih ne naraste nad 30%, kar me rahlo preseneča. 30% delež cepljenih od 80% cepljene rizične populacije da proti 70% deležu necepljenih v ICU od 20% necepljene rizične populacije (80/30)/(20/70)=9.33x boljšo zaščito cepljenih od necepljenih pred ICU obravnavo. Oziroma našo trenutno 1-1/9.33=89% učinkovitost cepiva pred ICU obravnavo.

Naš trenutni povprečni faktor boljše zaščite cepljenega od necepljenega za pristanek v ICU/EIT/EIZ je sčasoma padal, in zdaj znaša okoli 6-9. Kmalu po cepljenju z 2. ali 3. odmerkov je ta faktor še bistveno višji.


nedelja 14.11.2021
Povzetek dnevne analize:
epidemija očitno ne raste več, kot kaže celo že počasi pada, počasno padanje je lahko do začetka decembra
odločilo bo, ali bo efekt končanja počitnic (upoštevan v projekcijah), ter koliko se bodo ljudje zdaj sami bolj zaščitno obnašali, nekaj pa tudi vreme
vreme je pokazalo veliko več moči od pričakovanega + premaknilo druženja v notranje prostore, AY podvariante delte pri nas baje še niso v igri
od 8.11. do 13.11. se je podvojil obseg HAT, zato med pozitivnimi ranga 200 dodatnih pozitivnih, R zato v resnici nekaj nižji
R=1.00, vreme/šole/službe/univerze ga povečujejo, sprotna imunizacja deluje v nasprotno smer
bazen ljudi brez vsakršne imunosti (naive) okoli 16%, a zaradi popuščanja zaščite po cepljenju trenutno vseeno dovzetnih (susceptible) okoli 30%
povprečje javljenih primerov zadnjih 7 dni je 3162 (vmesni max je bil 17.9. pri 1045), NIJZ s korekcijami za nazaj 3148
1/0 SLO/EU zelenih občin, 1/0/0 občin brez primerov že vsaj 1/2/4 tedne
dosežena splošna skupna (kakršnakoli) imunost (upoštevani prekuženost in precepljenost, ter njun presek): 83.7% (popuščanje zaščite ni zajeto)
P ali C (ali oboje) starostnih skupin: 60-64: 97%, 65-69: 100%, 70-74: 100%, 75-79: 100%, 80-84: 100%, 85-89: 100%; 90+: 100%
dejanska imunost starostnih skupin: 60-64: 77%, 65-69: 79%, 70-74: 81%, 75-79: 80%, 80-84: 80%, 85-89: 80%; 90+: 80%
rast števila novih sprejemov v bolnišnice se upočasnjuje, je pa že preko 115/dan
smrti so imele prvi vrh 24.9. pri 6/dan, po 14.10. so nenavadno porasle, trenutno jih je v povprečju 15/dan
napoved okužb (tekoče 7d povprečje): imeli smo vmesni vrh 14.9. pri povprečno 1045 primerih dnevno, zdaj smo izgleda če čez glavni vrh 3338 6.11.2021
napoved hospitaliziranih: kot kaže je imel prvi vrh plato pri dobrih 400, potem rast in verjetno bo šlo do okoli 1170
napoved ICU: cela druga polovica novembra pri okoli 260-270
napoved umrlih: 1500 (515 od tega jih je že bilo), po 4. valu skupno okoli 6100
napoved izpolnitve kriterijev za EU-rdečo: 20. januar 2022
pred delto sta najbolje zaščiteni Koroška in Pomurska, najslabše Obalno-kraška (15% slabše!) … zelo v skladu s tem se v 4. valu gibajo incidence primerov!!


Z epidemiološkim modelom v aplikaciji covidSLO poskušam modelirati situacijo, ko nam je R zaradi počitnic postopoma padel za neko vrednost, z zamikom dveh tednov pa se po koncu njih vrne za nekaj manjšo vrednost nazaj navzgor. Nazaj nekaj manj, ker se bo vmes bazen dovzetnih še nekoliko zmanjšal. Poleg tega modeliram tudi novoletni porast R za 0.20 in potem še njegov padec nazaj za 0.15. Štartam s trenutno izmerjenim R. Koliko se bo dejansko stanje v resnici ujemalo s to projekcijo, bo povedalo dejansko stanje, ne projekcija.



V skupini 5-14 let je viden porast okužb, zapoznela posledica konca počitnic. Pri ostalih skupinah in veliki večini regij je viden zmaren trend k upadanju novih okužb.

Smo na rekordnih vrednostih novih primerov dnevno. Delež pozitivnih je že nekaj časa rekorden, v zadnjih dneh celo že rahlo pada.
Laboratoriji tokrat zmorejo več od povprečno 7-8000 PCR testov dnevno! Bravo!


Tempo rasti se upočasnjuje, R pada. Ker ga merimo za teden dni nazaj, imamo trenutno že rahlo padajočo epidemijo. Skupina 5-14 let nam zdaj pričakovano dviguje R, a umetno ga dviguje tudi podvojen obseg HAT testiranja od 8.11. dalje.
Torej, delno se bo rast postopno prelila tudi v višje starostne skupine, ampak del te rasti je umeten zaradi podvojenega obsega HAT. Prekuževanje poteka hitro. R se bo zelo težko kaj bistveno dvignil, tudi vreme za naslednji teden dni ne kaže kakšnega posebnega vpliva na R. Omeniti je treba še to, da se zaradi trenutne situacije tudi ljudje sami obnašajo nekoliko bolj zaščitno, to pa spet znižuje R. Sem optimist, da bo R v kratkem 0.95.

Vreme (rumena krivulja) v povprečju vse bolj deluje v smeri povečevanja R (pričakovano) …

Hospitalizacije po vmesnem platoju pri 400 hospitaliziranih ponovno naraščajo, šle bodo verjetno vsaj do 1160.
Povprečno dnevno število umrlih je bilo po prvem vrhu pri 6.5/dan v zadnjem tednu septembra in v prvem tednu oktobra okoli 5/dan, potem pa v drugem tednu oktobra celo 3.5/dan. Nato je še pred pričetkom ponovne rasti sprejemov pričelo samo od sebe naraščati proti 9/dan. Vzrok za tak porast ni jasen, verjetno je šlo za neko statistično prekladanje podatkov med NIJZ in MZ, ali pa morda za preventivno čuvanje ICU postelj (delež ICU je padal), ne vem.
Zaradi rasti epidemije se zdaj dviguje tudi dnevno število umrlih. Predvidevam, da na nekje največ do povprečnega nivoja 20-30/dan, zaradi težkih razmer v bolnišnicah verjetno lahko tudi nekaj čez. Rizične skupine so zdaj res dobro imunizirane, popušča pa zaščita po cepljenju tistim prvim cepljenim v prvih letošnjih mesecih – teh je baje zato zdaj že kar nekaj v bolnišnicah, čeprav pogled okužb po starostnih skupinah pokaže, da recimo skupina 85+ ni nič kaj “podivjala”. Kar nekaj je tudi imunsko oslabljenih bolnikov.
Število smrti med neimunimi v 4. valu so že dolgo vnaprej določene za 500-700, a popuščanje zaščite in imunokompromitirani tu niso bili všteti. Zaščitenost od cepljenja je že popustila, in vsi se ne bodo takoj cepili s 3. odmerkom – zato bo večje, verjetno okoli 1500.

Med sprejetimi v ICU delež cepljenih ne naraste nad 30%, kar me rahlo preseneča. 30% delež cepljenih od 80% cepljene rizične populacije da proti 70% deležu necepljenih v ICU od 20% necepljene rizične populacije (80/30)/(20/70)=9.33x boljšo zaščito cepljenih od necepljenih pred ICU obravnavo. Oziroma našo trenutno 1-1/9.33=89% učinkovitost cepiva pred ICU obravnavo.








Skupina 85+ nima neke posebne rasti, ki bi jo lahko pripisali popuščanju zaščite od cepljenja.


Na spodnjem diagramu celotnega poteka epidemije po starostnih skupinah je lepo vidno, kako je cepljenje v višjih starostnih skupinah preprečilo ponovitev lanske grozljive porazdelitve okužb, ki je imela za posledico veliko hospitalizacij in tudi smrti …

sobota 13.11.2021
Povzetek dnevne analize:
epidemija očitno ne raste več, morda celo že počasi pada, počasno padanje je lahko do začetka decembra
odločilo bo, ali bo efekt končanja počitnic (upoštevan v projekcijah), ter koliko se bodo ljudje zdaj sami bolj zaščitno obnašali, nekaj pa tudi vreme
vreme je pokazalo veliko več moči od pričakovanega + premaknilo druženja v notranje prostore, AY podvariante delte pri nas baje še niso v igri
R=1.01, vreme/šole/službe/univerze ga povečujejo, sprotna imunizacja deluje v nasprotno smer
bazen ljudi brez vsakršne imunosti (naive) okoli 16%, a zaradi popuščanja zaščite po cepljenju trenutno vseeno dovzetnih (susceptible) okoli 30%
povprečje javljenih primerov zadnjih 7 dni je 3155 (vmesni max je bil 17.9. pri 1045), NIJZ s korekcijami za nazaj 3141
2/1 SLO/EU zelenih občin, 2/1/0 občin brez primerov že vsaj 1/2/4 tedne
dosežena splošna skupna (kakršnakoli) imunost (upoštevani prekuženost in precepljenost, ter njun presek): 83.6% (popuščanje zaščite ni zajeto)
P ali C (ali oboje) starostnih skupin: 60-64: 97%, 65-69: 100%, 70-74: 100%, 75-79: 100%, 80-84: 100%, 85-89: 100%; 90+: 100%
dejanska imunost starostnih skupin: 60-64: 77%, 65-69: 79%, 70-74: 81%, 75-79: 80%, 80-84: 80%, 85-89: 80%; 90+: 80%
rast števila novih sprejemov v bolnišnice se upočasnjuje, je pa že preko 115/dan
smrti so imele prvi vrh 24.9. pri 6/dan, po 14.10. so nenavadno porasle, trenutno jih je v povprečju 15/dan
napoved okužb (tekoče 7d povprečje): imeli smo vmesni vrh 14.9. pri povprečno 1045 primerih dnevno, zdaj smo izgleda če čez glavni vrh 3338 6.11.2021
napoved hospitaliziranih: kot kaže je imel prvi vrh plato pri dobrih 400, potem rast in verjetno bo šlo do okoli 1160
napoved ICU: cela druga polovica novembra pri okoli 250-260
napoved umrlih: 1500 (493 od tega jih je že bilo), po 4. valu skupno okoli 6100
napoved izpolnitve kriterijev za EU-rdečo: 20. januar 2022
pred delto sta najbolje zaščiteni Koroška in Pomurska, najslabše Obalno-kraška (15% slabše!) … zelo v skladu s tem se v 4. valu gibajo incidence primerov!!


Z epidemiološkim modelom v aplikaciji covidSLO poskušam modelirati situacijo, ko nam je R zaradi počitnic postopoma padel za neko vrednost, z zamikom dveh tednov pa se po koncu njih vrne za nekaj manjšo vrednost nazaj navzgor. Nazaj nekaj manj, ker se bo vmes bazen dovzetnih še nekoliko zmanjšal. Poleg tega modeliram tudi novoletni porast R za 0.20 in potem še njegov padec nazaj za 0.15. Štartam s trenutno izmerjenim R. Koliko se bo dejansko stanje v resnici ujemalo s to projekcijo, bo povedalo dejansko stanje, ne projekcija.



V skupini 5-14 let je viden porast okužb, zapoznela posledica konca počitnic. Pri ostalih skupinah in veliki večini regij je viden zmaren trend k upadanju novih okužb.

Smo na rekordnih vrednostih novih primerov dnevno. Delež pozitivnih je že nekaj časa rekorden, v zadnjih dneh celo že rahlo pada.
Laboratoriji tokrat zmorejo več od povprečno 7-8000 PCR testov dnevno! Bravo!


Tempo rasti se upočasnjuje, R pada. Ker ga merimo za teden dni nazaj, imamo trenutno že rahlo padajočo epidemijo.

Vreme (rumena krivulja) v povprečju vse bolj deluje v smeri povečevanja R (pričakovano) …

Hospitalizacije po vmesnem platoju pri 400 hospitaliziranih ponovno naraščajo, šle bodo verjetno vsaj do 1160.
Povprečno dnevno število umrlih je bilo po prvem vrhu pri 6.5/dan v zadnjem tednu septembra in v prvem tednu oktobra okoli 5/dan, potem pa v drugem tednu oktobra celo 3.5/dan. Nato je še pred pričetkom ponovne rasti sprejemov pričelo samo od sebe naraščati proti 9/dan. Vzrok za tak porast ni jasen, verjetno je šlo za neko statistično prekladanje podatkov med NIJZ in MZ, ali pa morda za preventivno čuvanje ICU postelj (delež ICU je padal), ne vem.
Zaradi rasti epidemije se zdaj dviguje tudi dnevno število umrlih. Predvidevam, da na nekje največ do povprečnega nivoja 20-30/dan, zaradi težkih razmer v bolnišnicah verjetno lahko tudi nekaj čez. Rizične skupine so zdaj res dobro imunizirane, popušča pa zaščita po cepljenju tistim prvim cepljenim v prvih letošnjih mesecih – teh je baje zato zdaj že kar nekaj v bolnišnicah, čeprav pogled okužb po starostnih skupinah pokaže, da recimo skupina 85+ ni nič kaj “podivjala”. Kar nekaj je tudi imunsko oslabljenih bolnikov.
Število smrti med neimunimi v 4. valu so že dolgo vnaprej določene za 500-700, a popuščanje zaščite in imunokompromitirani tu niso bili všteti. Zaščitenost od cepljenja je že popustila, in vsi se ne bodo takoj cepili s 3. odmerkom – zato bo večje, verjetno okoli 1500.

Med sprejetimi v ICU delež cepljenih ne naraste nad 30%, kar me rahlo preseneča. 30% delež cepljenih od 80% cepljene rizične populacije da proti 70% deležu necepljenih v ICU od 20% necepljene rizične populacije (80/30)/(20/70)=9.33x boljšo zaščito cepljenih od necepljenih pred ICU obravnavo. Oziroma našo trenutno 1-1/9.33=89% učinkovitost cepiva pred ICU obravnavo.


sobota 13.11.2021 ob 02:53 … preview: (zaenkrat samo pogled na včeraj izdane TAN kode – 3254 kod, izgleda bo okoli 3700/9700 …)

petek 12.11.2021
Povzetek dnevne analize:
epidemija očitno ne raste več, morda celo že počasi pada, počasno padanje je lahko do začetka decembra
odločilo bo, ali bo efekt končanja počitnic (upoštevan v projekcijah), ter koliko se bodo ljudje zdaj sami bolj zaščitno obnašali, nekaj pa tudi vreme
vreme je pokazalo veliko več moči od pričakovanega + premaknilo druženja v notranje prostore, AY podvariante delte pri nas baje še niso v igri
R=1.02, vreme/šole/službe/univerze ga povečujejo, sprotna imunizacja deluje v nasprotno smer
bazen ljudi brez vsakršne imunosti (naive) okoli 17%, a zaradi popuščanja zaščite po cepljenju trenutno vseeno dovzetnih (susceptible) okoli 31%
povprečje javljenih primerov zadnjih 7 dni je 3154 (vmesni max je bil 17.9. pri 1045), NIJZ s korekcijami za nazaj 3140
2/1 SLO/EU zelenih občin, 2/1/0 občin brez primerov že vsaj 1/2/4 tedne
dosežena splošna skupna (kakršnakoli) imunost (upoštevani prekuženost in precepljenost, ter njun presek): 83.3% (popuščanje zaščite ni zajeto)
P ali C (ali oboje) starostnih skupin: 60-64: 97%, 65-69: 100%, 70-74: 100%, 75-79: 100%, 80-84: 100%, 85-89: 100%; 90+: 100%
dejanska imunost starostnih skupin: 60-64: 76%, 65-69: 78%, 70-74: 80%, 75-79: 80%, 80-84: 80%, 85-89: 79%; 90+: 79%
rast števila novih sprejemov v bolnišnice se upočasnjuje, je že okoli 110/dan
smrti so imele prvi vrh 24.9. pri 6/dan, po 14.10. so nenavadno porasle, trenutno jih je v povprečju 15/dan
napoved okužb (tekoče 7d povprečje): imeli smo vmesni vrh 14.9. pri povprečno 1045 primerih dnevno, zdaj smo izgleda če čez glavni vrh 3338 6.11.2021
napoved hospitaliziranih: kot kaže je imel prvi vrh plato pri dobrih 400, potem rast in verjetno bo šlo do okoli 1150
napoved ICU: cela druga polovica novembra pri okoli 240-280
napoved umrlih: 1500 (474 od tega jih je že bilo), po 4. valu skupno okoli 6100
napoved izpolnitve kriterijev za EU-rdečo: 20. januar 2022
pred delto sta najbolje zaščiteni Koroška in Pomurska, najslabše Obalno-kraška (15% slabše!) … zelo v skladu s tem se v 4. valu gibajo incidence primerov!!


Z epidemiološkim modelom v aplikaciji covidSLO poskušam modelirati situacijo, ko nam R zaradi počitnic postopoma pade za neko vrednost, z zamikom dveh tednov pa se po koncu njih vrne za nekaj manjšo vrednost nazaj navzgor. Nazaj nekaj manj, ker se bo vmes bazen dovzetnih še nekoliko zmanjšal. Poleg tega modeliram tudi novoletni porast R za 0.20 in potem še njegov padec nazaj za 0.15. Štartam s trenutno izmerjenim R. Koliko se bo dejansko stanje v resnici ujemalo s to projekcijo, bo povedalo dejansko stanje, ne projekcija.



Smo na rekordnih vrednostih novih primerov dnevno. Delež pozitivnih je že nekaj časa rekorden, v zadnjih dneh celo že rahlo pada.
Laboratoriji tokrat zmorejo več od povprečno 7-8000 PCR testov dnevno! Bravo!


Tempo rasti se upočasnjuje, R pada. Ker ga merimo za teden dni nazaj, imamo trenutno zelo verjetno že rahlo padajočo epidemijo.

Vreme (rumena krivulja) v povprečju vse bolj deluje v smeri povečevanja R (pričakovano) …

Hospitalizacije po vmesnem platoju pri 400 hospitaliziranih ponovno naraščajo, šle bodo verjetno vsaj do 1150.
Povprečno dnevno število umrlih je bilo po prvem vrhu pri 6.5/dan v zadnjem tednu septembra in v prvem tednu oktobra okoli 5/dan, potem pa v drugem tednu oktobra celo 3.5/dan. Nato je še pred pričetkom ponovne rasti sprejemov pričelo samo od sebe naraščati proti 9/dan. Vzrok za tak porast ni jasen, verjetno je šlo za neko statistično prekladanje podatkov med NIJZ in MZ, ali pa morda za preventivno čuvanje ICU postelj (delež ICU je padal), ne vem.
Zaradi rasti epidemije se zdaj dviguje tudi dnevno število umrlih. Predvidevam, da na nekje največ do povprečnega nivoja 20-30/dan, zaradi težkih razmer v bolnišnicah verjetno lahko tudi nekaj čez. Rizične skupine so zdaj res dobro imunizirane, popušča pa zaščita po cepljenju tistim prvim cepljenim v prvih letošnjih mesecih – teh je baje zato zdaj že kar nekaj v bolnišnicah, čeprav pogled okužb po starostnih skupinah pokaže, da recimo skupina 85+ ni nič kaj “podivjala”. Kar nekaj je tudi imunsko oslabljenih bolnikov.
Število smrti med neimunimi v 4. valu so že dolgo vnaprej določene za 500-700, a popuščanje zaščite in imunokompromitirani tu niso bili všteti. Zaščitenost od cepljenja je že popustila, in vsi se ne bodo takoj cepili s 3. odmerkom – zato bo večje, verjetno okoli 1500.



petek 12.11.2021 00:55 … preview: (zaenkrat samo pogled na včeraj izdane TAN kode – 3137 kod, izgleda bo okoli 3500/8700 …)

četrtek 11.11.2021
Povzetek dnevne analize:
epidemija raste, rast se upočasnjuje, približujemo se vrhu okužb, smo tam tam, morda bomo imeli plato do začetka decembra
odločilo bo, ali bo efekt končanja počitnic (upoštevan v projekcijah), ter koliko se bodo ljudje zdaj sami bolj zaščitno obnašali, malo pa tudi vreme
vreme je pokazalo veliko več moči od pričakovanega + premaknilo druženja v notranje prostore, AY podvariante delte pri nas baje še niso v igri
R=1.04, vreme/šole/službe/univerze ga povečujejo, sprotna imunizacja deluje v nasprotno smer
bazen ljudi brez vsakršne imunosti (naive) 17.3%, a zaradi popuščanja zaščite po cepljenju trenutno vseeno dovzetnih (susceptible) okoli 31%
povprečje javljenih primerov zadnjih 7 dni je 3203 (vmesni max je bil 17.9. pri 1045), NIJZ s korekcijami za nazaj 3188
2/0 SLO/EU zelenih občin, 2/0/0 občin (Kobilje, Solčava) brez primerov že vsaj 1/2/4 tedne
dosežena splošna skupna (kakršnakoli) imunost (upoštevani prekuženost in precepljenost, ter njun presek): 83.0% (popuščanje zaščite ni zajeto)
P ali C (ali oboje) starostnih skupin: 60-64: 96%, 65-69: 100%, 70-74: 100%, 75-79: 100%, 80-84: 100%, 85-89: 100%; 90+: 100%
dejanska imunost starostnih skupin: 60-64: 76%, 65-69: 78%, 70-74: 80%, 75-79: 79%, 80-84: 79%, 85-89: 79%; 90+: 79%
rast števila novih sprejemov v bolnišnice se nadaljuje, je že okoli 105/dan
smrti so imele prvi vrh 24.9. pri 6/dan, po 14.10. so nenavadno porasle, trenutno jih je v povprečju 15/dan
napoved okužb (tekoče 7d povprečje): imeli smo vmesni vrh 14.9. pri povprečno 1045 primerih dnevno, zdaj gremo ponovno čez, verjetno še kakšen dan rasti z max 7dAvg okoli 3200-3400
napoved hospitaliziranih: kot kaže je imel prvi vrh plato pri dobrih 400, potem rast in verjetno bo šlo do okoli 1200
napoved ICU: cela druga polovica novembra pri okoli 250-290
napoved umrlih: 1500 (430 od tega jih je že bilo), po 4. valu skupno okoli 6100
napoved izpolnitve kriterijev za EU-rdečo: 20. januar 2022
pred delto sta najbolje zaščiteni Koroška in Pomurska, najslabše Obalno-kraška (15% slabše!) … zelo v skladu s tem se v 4. valu gibajo incidence primerov!!


Z epidemiološkim modelom v aplikaciji covidSLO poskušam modelirati situacijo, ko nam R zaradi počitnic postopoma pade za neko vrednost, z zamikom dveh tednov pa se po koncu njih vrne za nekaj manjšo vrednost nazaj navzgor. Nazaj nekaj manj, ker se bo vmes bazen dovzetnih še nekoliko zmanjšal. Poleg tega modeliram tudi novoletni porast R za 0.20 in potem še njegov padec nazaj za 0.15. Štartam s trenutno izmerjenim R. Koliko se bo dejansko stanje v resnici ujemalo s to projekcijo, bo povedalo dejansko stanje, ne projekcija.



Smo na rekordnih vrednostih novih primerov dnevno. Delež pozitivnih je že nekaj časa rekorden, v zadnjih dneh celo že rahlo pada.
Laboratoriji bodo tokrat očitno zmogli več od povprečno 7-8000 PCR testov dnevno! Bravo!


Tempo rasti se upočasnjuje, R pada. Vprašanje je, do kam in v kolikšnem času bo uspel pasti. Če pade pod 1, bomo imeli padajočo epidemijo. Vrh kaže da bo zdaj zdaj.

Vreme (rumena krivulja) v povprečju vse bolj deluje v smeri povečevanja R (pričakovano) …

Hospitalizacije po vmesnem platoju pri 400 hospitaliziranih ponovno naraščajo, šle bodo verjetno vsaj do 1200.
Povprečno dnevno število umrlih je bilo po prvem vrhu pri 6.5/dan v zadnjem tednu septembra in v prvem tednu oktobra okoli 5/dan, potem pa v drugem tednu oktobra celo 3.5/dan. Nato je še pred pričetkom ponovne rasti sprejemov pričelo samo od sebe naraščati proti 9/dan. Vzrok za tak porast ni jasen, verjetno je šlo za neko statistično prekladanje podatkov med NIJZ in MZ, ali pa morda za preventivno čuvanje ICU postelj (delež ICU je padal), ne vem.
Zaradi rasti epidemije se zdaj dviguje tudi dnevno število umrlih. Predvidevam, da na nekje največ do povprečnega nivoja 20-30/dan, zaradi težkih razmer v bolnišnicah zelo verjetno lahko tudi nekaj čez. Rizične skupine so zdaj res dobro imunizirane, popušča pa zaščita po cepljenju tistim prvim cepljenim v prvih letošnjih mesecih – teh je baje zato zdaj že kar nekaj v bolnišnicah, čeprav pogled okužb po starostnih skupinah pokaže, da recimo skupina 85+ ni nič kaj “podivjala”. Kar nekaj je tudi imunsko oslabljenih bolnikov.
Število smrti med neimunimi v 4. valu so že dolgo vnaprej določene za 500-700, a popuščanje zaščite in imunokompromitirani tu niso bili všteti. Zaščitenost od cepljenja je že popustila, in vsi se ne bodo takoj cepili s 3. odmerkom – zato bo večje, verjetno okoli 1500.



četrtek 11.11.2021 00:45 … preview: (zaenkrat samo pogled na včeraj izdane TAN kode – 3390 kod, očitno bo okoli 3700/9200 …)

sreda 10.11.2021
Povzetek dnevne analize:
epidemija raste, rast se upočasnjuje, približujemo se vrhu okužb, še nekaj dni ali pa bomo imeli plato do začetka decembra
vreme je pokazalo veliko več moči od pričakovanega + premaknilo druženja v notranje prostore, AY podvariante delte pri nas baje še niso v igri
R=1.06, vreme/šole/službe/univerze ga povečujejo, sprotna imunizacja deluje v nasprotno smer
bazen ljudi brez vsakršne imunosti (naive) 17.3%, a zaradi popuščanja zaščite po cepljenju trenutno vseeno dovzetnih (susceptible) okoli 31%
povprečje javljenih primerov zadnjih 7 dni je 3338 (vmesni max je bil 17.9. pri 1045), NIJZ s korekcijami za nazaj 3322 (jutri korekcija za 200 navzdol)
1/0 SLO/EU zelenih občin, 1/0/0 občin (Kobilje) brez primerov že vsaj 1/2/4 tedne
dosežena splošna skupna (kakršnakoli) imunost (upoštevani prekuženost in precepljenost, ter njun presek): 82.7% (popuščanje zaščite ni zajeto)
P ali C (ali oboje) starostnih skupin: 60-64: 96%, 65-69: 99%, 70-74: 100%, 75-79: 100%, 80-84: 100%, 85-89: 100%; 90+: 100%
dejanska imunost starostnih skupin: 60-64: 76%, 65-69: 77%, 70-74: 80%, 75-79: 79%, 80-84: 79%, 85-89: 79%; 90+: 78%
rast števila novih sprejemov v bolnišnice se nadaljuje, je že okoli 105/dan
smrti so imele prvi vrh 24.9. pri 6/dan, po 14.10. so nenavadno porasle, trenutno jih je v povprečju 15/dan
napoved okužb (tekoče 7d povprečje): imeli smo vmesni vrh 14.9. pri povprečno 1045 primerih dnevno, zdaj gremo ponovno čez, verjetno še kakšen dan rasti z max 7dAvg okoli 3200-3500
napoved hospitaliziranih: kot kaže je imel prvi vrh plato pri dobrih 400, potem rast in verjetno bo šlo do okoli 1200-1300
napoved ICU: cela druga polovica novembra pri okoli 265
napoved umrlih: 1500 (430 od tega jih je že bilo), po 4. valu skupno okoli 6100
napoved izpolnitve kriterijev za EU-rdečo: 20. januar 2022
pred delto sta najbolje zaščiteni Koroška in Pomurska, najslabše Obalno-kraška (15% slabše!) … zelo v skladu s tem se v 4. valu gibajo incidence primerov!!


Z epidemiološkim modelom v aplikaciji covidSLO poskušam modelirati situacijo, ko nam R zaradi počitnic postopoma pade za neko vrednost, z zamikom dveh tednov pa se po koncu njih vrne za nekaj manjšo vrednost nazaj navzgor. Nazaj nekaj manj, ker se bo vmes bazen dovzetnih še nekoliko zmanjšal. Poleg tega modeliram tudi novoletni porast R za 0.20 in potem še njegov padec nazaj za 0.15. Štartam s trenutno izmerjenim R. Koliko se bo dejansko stanje v resnici ujemalo s to projekcijo, bo povedalo dejansko stanje, ne projekcija.








Smo na rekordnih vrednostih novih primerov dnevno. Delež pozitivnih je že nekaj časa rekorden, v zadnjih dneh celo že rahlo pada.
Laboratoriji bodo tokrat očitno zmogli več od povprečno 7-8000 PCR testov dnevno! Bravo!


Tempo rasti se upočasnjuje, R pada. Vprašanje je, do kam in v kolikšnem času bo uspel pasti. Če pade pod 1, bomo imeli padajočo epidemijo. Upanje, da bi se to lahko zgodilo proti koncu prejšnjega tedna, in bi potem imeli padanje okužb, je žal izpuhtelo. Kot sem rekel, itak nisem bil prevelik optimist glede tega. Vrh okužb se sedaj kaže v drugem tednu novembra, model pa nakazuje na nekak plato do začetka decembra.

Vreme (rumena krivulja) v povprečju vse bolj deluje v smeri povečevanja R (pričakovano) …

Hospitalizacije po vmesnem platoju pri 400 hospitaliziranih ponovno naraščajo, šle bodo verjetno vsaj do 1250.
Povprečno dnevno število umrlih je bilo po prvem vrhu pri 6.5/dan v zadnjem tednu septembra in v prvem tednu oktobra okoli 5/dan, potem pa v drugem tednu oktobra celo 3.5/dan. Nato je še pred pričetkom ponovne rasti sprejemov pričelo samo od sebe naraščati proti 9/dan. Vzrok za tak porast ni jasen, verjetno je šlo za neko statistično prekladanje podatkov med NIJZ in MZ, ali pa morda za preventivno čuvanje ICU postelj (delež ICU je padal), ne vem.
Zaradi rasti epidemije se zdaj dviguje tudi dnevno število umrlih. Predvidevam, da na nekje največ do povprečnega nivoja 20-30/dan, zaradi težkih razmer v bolnišnicah zelo verjetno lahko tudi nekaj čez. Rizične skupine so zdaj res dobro imunizirane, popušča pa zaščita po cepljenju tistim prvim cepljenim v prvih letošnjih mesecih – teh je baje zato zdaj že kar nekaj v bolnišnicah, čeprav pogled okužb po starostnih skupinah pokaže, da recimo skupina 85+ ni nič kaj “podivjala”. Kar nekaj je tudi imunsko oslabljenih bolnikov.
Število smrti med neimunimi v 4. valu so že dolgo vnaprej določene za 500-700, a popuščanje zaščite in imunokompromitirani tu niso bili všteti. Zaščitenost od cepljenja je že popustila, in vsi se ne bodo takoj cepili s 3. odmerkom – zato bo večje, verjetno okoli 1500.









Skupina 85+ nima neke posebne rasti, ki bi jo lahko pripisali popuščanju zaščite od cepljenja.


Na spodnjem diagramu celotnega poteka epidemije po starostnih skupinah je lepo vidno, kako je cepljenje v višjih starostnih skupinah preprečilo ponovitev lanske grozljive porazdelitve okužb, ki je imela za posledico veliko hospitalizacij in tudi smrti …

… preview: (zaenkrat samo pogled na včeraj izdane TAN kode – 4087 kod, očitno bo okoli 4500/10000 …)

Še malo sem se poigral z modelom. Kaj se recimo zgodi, če zamahnemo s čarobno paličico in cepivo popolnoma preneha učinkovati? In kaj če obratno cepljenje in prebolelost zdajle pričneta učinkovati 100%?


torek 9.11.2021
Povzetek dnevne analize:
epidemija raste, rast se upočasnjuje, približujemo se vrhu okužb, še nekaj dni ali pa bomo imeli plato do začetka decembra
vreme je pokazalo veliko več moči od pričakovanega, AY podvariante delte pri nas baje še niso v igri
R=1.08, vreme/šole/službe/univerze ga povečujejo, sprotna imunizacja deluje v nasprotno smer
bazen ljudi brez vsakršne imunosti (naive) 18.7%, a zaradi popuščanja zaščite po cepljenju trenutno vseeno dovzetnih (susceptible) okoli 33%
povprečje javljenih primerov zadnjih 7 dni je 3191 (vmesni max je bil 17.9. pri 1045), NIJZ s korekcijami za nazaj 3178
1/0 SLO/EU zelenih občin, 1/0/0 občin (Kobilje) brez primerov že vsaj 1/2/4 tedne
dosežena splošna skupna (kakršnakoli) imunost (upoštevani prekuženost in precepljenost, ter njun presek): 81.3% (popuščanje zaščite ni zajeto)
P ali C (ali oboje) starostnih skupin: 60-64: 95%, 65-69: 98%, 70-74: 100%, 75-79: 100%, 80-84: 100%, 85-89: 100%; 90+: 100%
dejanska imunost starostnih skupin: 60-64: 74%, 65-69: 76%, 70-74: 78%, 75-79: 78%, 80-84: 77%, 85-89: 77%; 90+: 77%
rast števila novih sprejemov v bolnišnice se nadaljuje, je že okoli 100/dan
smrti so imele prvi vrh 24.9. pri 6/dan, po 14.10. so nenavadno porasle, trenutno jih je v povprečju 13/dan
napoved okužb (tekoče 7d povprečje): imeli smo vmesni vrh 14.9. pri povprečno 1045 primerih dnevno, zdaj gremo ponovno čez, verjetno še kakšen dan rasti z max 7dAvg okoli 3200-3500
napoved hospitaliziranih: kot kaže je imel prvi vrh plato pri dobrih 400, potem rast in verjetno bo šlo do okoli 1070
napoved ICU: cela druga polovica novembra pri okoli 235
napoved umrlih: 1500 (430 od tega jih je že bilo), po 4. valu skupno okoli 6100
napoved izpolnitve kriterijev za EU-rdečo: konec januarja 2022
pred delto sta najbolje zaščiteni Koroška in Pomurska, najslabše Obalno-kraška (15% slabše!) … zelo v skladu s tem se v 4. valu gibajo incidence primerov!!


Z epidemiološkim modelom v aplikaciji covidSLO poskušam modelirati situacijo, ko nam R zaradi počitnic postopoma pade za neko vrednost, z zamikom dveh tednov pa se po koncu njih vrne za nekaj manjšo vrednost nazaj navzgor. Nazaj nekaj manj, ker se bo vmes bazen dovzetnih še nekoliko zmanjšal. Poleg tega modeliram tudi novoletni porast R za 0.15 in potem še njegov padec nazaj za istih 0.15. Štartam s trenutno izmerjenim R. Koliko se bo dejansko stanje v resnici ujemalo s to projekcijo, bo povedalo dejansko stanje, ne projekcija.








Smo na rekordnih vrednostih novih primerov dnevno. Delež pozitivnih je že nekaj časa rekorden, v zadnjih dneh celo že rahlo pada.
Laboratoriji bodo tokrat očitno zmogli več od povprečno 7-8000 PCR testov dnevno! Bravo!


Tempo rasti se upočasnjuje, R pada. Vprašanje je, do kam in v kolikšnem času bo uspel pasti. Če pade pod 1, bomo imeli padajočo epidemijo. Upanje, da bi se to lahko zgodilo proti koncu prejšnjega tedna, in bi potem imeli padanje okužb, je žal izpuhtelo. Kot sem rekel, itak nisem bil prevelik optimist glede tega. Vrh okužb se sedaj kaže v drugem tednu novembra, model pa pravi da ob zelo rahli postopni rasti celo 4. decembra.

Vreme (rumena krivulja) v povprečju vse bolj deluje v smeri povečevanja R (pričakovano) …

Hospitalizacije po vmesnem platoju pri 400 hospitaliziranih ponovno naraščajo, šle bodo verjetno vsaj do 1070.
Povprečno dnevno število umrlih je bilo po prvem vrhu pri 6.5/dan v zadnjem tednu septembra in v prvem tednu oktobra okoli 5/dan, potem pa v drugem tednu oktobra celo 3.5/dan. Nato je še pred pričetkom ponovne rasti sprejemov pričelo samo od sebe naraščati proti 9/dan. Vzrok za tak porast ni jasen, verjetno je šlo za neko statistično prekladanje podatkov med NIJZ in MZ, ali pa morda za preventivno čuvanje ICU postelj (delež ICU je padal), ne vem.
Zaradi rasti epidemije se zdaj dviguje tudi dnevno število umrlih. Predvidevam, da na nekje največ do povprečnega nivoja 15-20/dan, zaradi težkih razmer v bolnišnicah zelo verjetno tudi do 25 ali celo 30. Rizične skupine so zdaj res dobro imunizirane, popušča pa zaščita po cepljenju tistim prvim cepljenim v prvih letošnjih mesecih – teh je baje zato zdaj že kar nekaj v bolnišnicah, čeprav pogled okužb po starostnih skupinah pokaže, da recimo skupina 85+ ni nič kaj “podivjala”. Kar nekaj je tudi imunsko oslabljenih bolnikov.
Število smrti med neimunimi v 4. valu so že dolgo vnaprej določene za 500-700, a popuščanje zaščite in imunokompromitirani tu niso bili všteti. Zaščitenost od cepljenja je že popustila, in vsi se ne bodo takoj cepili s 3. odmerkom – zato bo večje, verjetno okoli 1500.









Skupina 85+ nima neke posebne rasti, ki bi jo lahko pripisali popuščanju zaščite od cepljenja.


Na spodnjem diagramu celotnega poteka epidemije po starostnih skupinah je lepo vidno, kako je cepljenje v višjih starostnih skupinah preprečilo ponovitev lanske grozljive porazdelitve okužb, ki je imela za posledico veliko hospitalizacij in tudi smrti …

ponedeljek 8.11.2021
Povzetek dnevne analize:
epidemija raste, rast se upočasnjuje, približujemo se vrhu okužb, še nekaj dni ali pa bomo imeli plato do začetka decembra
vreme je pokazalo veliko več moči od pričakovanega, AY podvariante delte pri nas baje še niso v igri
R=1.10, vreme/šole/službe/univerze ga povečujejo, sprotna imunizacja deluje v nasprotno smer
bazen ljudi brez vsakršne imunosti (naive) 18.9%, a zaradi popuščanja zaščite po cepljenju trenutno dovzetnih (susceptible) okoli 33%
povprečje javljenih primerov zadnjih 7 dni je 2876 (vmesni max je bil 17.9. pri 1045), NIJZ s korekcijami za nazaj 2862
1/0 SLO/EU zelenih občin, 1/0/0 občin (Kobilje) brez primerov že vsaj 1/2/4 tedne
dosežena splošna skupna (kakršnakoli) imunost (upoštevani prekuženost in precepljenost, ter njun presek): 81.1% (popuščanje zaščite ni zajeto)
P ali C (ali oboje) starostnih skupin: 60-64: 94%, 65-69: 98%, 70-74: 100%, 75-79: 100%, 80-84: 100%, 85-89: 100%; 90+: 100
dejanska imunost starostnih skupin: 60-64: 74%, 65-69: 76%, 70-74: 78%, 75-79: 77%, 80-84: 77%, 85-89: 76%; 90+: 77%
rast števila novih sprejemov v bolnišnice se nadaljuje, je že okoli 95/dan, odpusti zadnje dni zamujajo
smrti so imele prvi vrh 24.9. pri 6/dan, po 14.10. so nenavadno porasle, trenutno jih je v povprečju 13/dan
napoved okužb (tekoče 7d povprečje): imeli smo vmesni vrh 14.9. pri povprečno 1045 primerih dnevno, zdaj gremo ponovno čez, verjetno še kakšen dan rasti z max 7dAvg okoli 3200-3500
napoved hospitaliziranih: kot kaže je imel prvi vrh plato pri dobrih 400, zdaj je število pričelo spet rasti, verjetno bo šlo do okoli 1050
napoved ICU: zadnji teden novembra pri okoli 240
napoved umrlih: 1500 (417 od tega jih je že bilo), po 4. valu skupno okoli 6100
napoved izpolnitve kriterijev za EU-rdečo: konec januarja 2022
pred delto sta najbolje zaščiteni Koroška in Pomurska, najslabše Obalno-kraška (15% slabše!) … zelo v skladu s tem se v 4. valu gibajo incidence primerov!!


Z epidemiološkim modelom v aplikaciji covidSLO poskušam modelirati situacijo, ko nam R zaradi počitnic postopoma pade za neko vrednost, z zamikom dveh tednov pa se po koncu njih vrne za nekaj manjšo vrednost nazaj navzgor. Nazaj nekaj manj, ker se bo vmes bazen dovzetnih še nekoliko zmanjšal. Poleg tega modeliram tudi novoletni porast R za 0.15 in potem še njegov padec nazaj za istih 0.15. Štartam s trenutno izmerjenim R. Koliko se bo dejansko stanje v resnici ujemalo s to projekcijo, bo povedalo dejansko stanje, ne projekcija.


Rast po vseh regijah in vseh starostnih skupinah se počasi umirja. Povzročitelj te rasti je vplival na vse naenkrat, vzroka se ne da starostno ali geografsko zamejiti.

Smo na rekordnih vrednostih novih primerov dnevno. Delež pozitivnih je že nekaj časa rekorden, v zadnjih dneh celo že rahlo pada.
Laboratoriji bodo tokrat očitno zmogli več od povprečno 7-8000 PCR testov dnevno! Bravo!


Tempo rasti se upočasnjuje, R pada. Vprašanje je, do kam in v kolikšnem času bo uspel pasti. Če pade pod 1, bomo imeli padajočo epidemijo. Upanje, da bi se to lahko zgodilo proti koncu prejšnjega tedna, in bi potem imeli padanje okužb, je žal izpuhtelo. Kot sem rekel, itak nisem bil prevelik optimist glede tega. Vrh okužb se sedaj kaže v drugem tednu novembra, model pa pravi da ob zelo rahli postopni rasti celo 4. decembra.

Vreme (rumena krivulja) v povprečju vse bolj deluje v smeri povečevanja R (pričakovano) …

Hospitalizacije ponovno naraščajo, verjetno vsaj do 1050.
Povprečno dnevno število umrlih je bilo po prvem vrhu pri 6.5/dan v zadnjem tednu septembra in v prvem tednu oktobra okoli 5/dan, potem pa v drugem tednu oktobra celo 3.5/dan. Nato je še pred pričetkom ponovne rasti sprejemov pričelo naraščati in zdaj se bližamo že povprečju 9/dan. Vzrok za tak porast ni jasen, verjetno gre za neko statistično prekladanje podatkov med NIJZ in MZ, ali pa morda za preventivno čuvanje ICU postelj (delež ICU pada), ne vem.
Zdaj se bo zaradi rasti epidemije dvignilo tudi dnevno število umrlih. Predvidevam, da na nekje največ do povprečnega nivoja 15-20/dan, zaradi težkih razmer v bolnišnicah zelo verjetno tudi do 25 ali celo 30. Rizične skupine so zdaj res dobro imunizirane, popušča pa zaščita po cepljenju tistim prvim cepljenim v prvih letošnjih mesecih – teh je baje zato zdaj že kar nekaj v bolnišnicah, čeprav pogled okužbpo starostnih skupinah pokaže, da recimo skupina 85+ ni nič kaj “podivjala”. Kar nekaj je tudi imunsko oslabljenih bolnikov.
Število smrti med neimunimi v 4. valu so že dolgo vnaprej določene za 500-700, a popuščanje zaščite in imunokompromitirani tu niso bili všteti. Kasneje po novem letu bo še bolj upadla zaščitenost od cepljenja, in vsi se ne bodo takoj cepili s 3. odmerkom – zato bo večje, verjetno okoli 1500.



nedelja 7.11.2021
Povzetek dnevne analize:
epidemija raste, a rast se upočasnjuje in v drugem tednu novembra bo verjetno vrh, v 2. polovici novembra lahko nov porast
vreme je pokazalo veliko več moči od pričakovanega, AY podvariante delte pri nas baje še niso v igri
R=1.13, vreme/šole/službe/univerze ga povečujejo, sprotna imunizacja deluje v nasprotno smer
bazen ljudi brez vsakršne imunosti 18.9%, a zaradi popuščanja zaščite po cepljenju trenutno dovzetnih okoli 29%
povprečje javljenih primerov zadnjih 7 dni je 2872 (vmesni max je bil 17.9. pri 1045), NIJZ s korekcijami za nazaj 2858
1/0 SLO/EU zelenih občin, 1/0/0 občin (Kobilje) brez primerov že vsaj 1/2/4 tedne
dosežena splošna skupna (kakršnakoli) imunost (upoštevani prekuženost in precepljenost, ter njun presek): 81.1% (popuščanje zaščite ni zajeto)
dosežena imunost starostnih skupin: 60-64: 94%, 65-69: 98%, 70-74: 100%, 75-79: 100%, 80-84: 100%, 85-89: 100%; 90+: 100%
rast števila novih sprejemov v bolnišnice se nadaljuje, je že okoli 95/dan, odpusti zadnje dni zamujajo
smrti so imele prvi vrh 24.9. pri 6/dan, po 14.10. so nenavadno porasle, trenutno jih je v povprečju 13/dan
napoved okužb (tekoče 7d povprečje): imeli smo vmesni vrh 14.9. pri povprečno 1045 primerih dnevno, zdaj gremo ponovno čez, verjetno še kakšen dan rasti z max 7dAvg okoli 3200
napoved hospitaliziranih: kot kaže je imel prvi vrh plato pri dobrih 400, zdaj je število pričelo spet rasti, verjetno bo šlo do okoli 1050
napoved ICU: okoli 20.11. pri okoli 240
napoved umrlih: 1500 (405 od tega jih je že bilo), po 4. valu skupno okoli 6100
napoved izpolnitve kriterijev za EU-rdečo: februar 2022
pred delto sta najbolje zaščiteni Koroška in Pomurska, najslabše Obalno-kraška (15% slabše!) … zelo v skladu s tem se v 4. valu gibajo incidence primerov!!

Z epidemiološkim modelom v aplikaciji covidSLO poskušam modelirati situacijo, ko nam R zaradi počitnic postopoma pade za neko vrednost, z zamikom dveh tednov pa se po koncu njih vrne za nekaj manjšo vrednost nazaj navzgor. Nazaj nekaj manj, ker se bo vmes bazen dovzetnih še nekoliko zmanjšal. Poleg tega modeliram tudi novoletni porast R za 0.15 in potem še njegov padec nazaj za istih 0.15. Štartam s trenutno izmerjenim R. Koliko se bo dejansko stanje v resnici ujemalo s to projekcijo, bo povedalo dejansko stanje, ne projekcija.


Rast po vseh regijah in vseh starostnih skupinah se počasi umirja. Povzročitelj te rasti je vplival na vse naenkrat, vzroka se ne da starostno ali geografsko zamejiti.

Smo na rekordnih vrednostih novih primerov dnevno. Delež pozitivnih je že nekaj časa rekorden. Laboratoriji bodo tokrat očitno zmogli več od povprečno 7-8000 PCR testov dnevno! Bravo!


Tempo rasti se upočasnjuje, R pada. Vprašanje je, do kam in v kolikšnem času bo uspel pasti. Če pade pod 1, bomo imeli padajočo epidemijo. Upanje, da bi se to lahko zgodilo proti koncu tega tedna, in bi potem imeli padanje okužb, je žal izpuhtelo. Kot sem rekel, itak nisem bil prevelik optimist glede tega. Vrh okužb se sedaj kaže v drugem tednu novembra.

Vreme (rumena krivulja) v povprečju vse bolj deluje v smeri povečevanja R (pričakovano) …

Hospitalizacije ponovno naraščajo, verjetno vsaj do 900-1000.
Povprečno dnevno število umrlih je bilo po prvem vrhu pri 6.5/dan v zadnjem tednu septembra in v prvem tednu oktobra okoli 5/dan, potem pa v drugem tednu oktobra celo 3.5/dan. Nato je še pred pričetkom ponovne rasti sprejemov pričelo naraščati in zdaj se bližamo že povprečju 9/dan. Vzrok za tak porast ni jasen, verjetno gre za neko statistično prekladanje podatkov med NIJZ in MZ, ali pa morda za preventivno čuvanje ICU postelj (delež ICU pada), ne vem.
Zdaj se bo zaradi rasti epidemije dvignilo tudi dnevno število umrlih. Predvidevam, da na nekje največ do povprečnega nivoja 15-20/dan, zaradi težkih razmer v bolnišnicah zelo verjetno tudi do 25 ali celo 30. Rizične skupine so zdaj res dobro imunizirane, popušča pa zaščita po cepljenju tistim prvim cepljenim v prvih letošnjih mesecih – teh je baje zato zdaj že kar nekaj v bolnišnicah, čeprav pogled okužbpo starostnih skupinah pokaže, da recimo skupina 85+ ni nič kaj “podivjala”. Kar nekaj je tudi imunsko oslabljenih bolnikov.
Število smrti men neimunimi v 4. valu so že dolgo vnaprej določene za 500-700, a popuščanje zaščite in imunokompromitirani tu niso bili všteti. Kasneje po novem letu bo še bolj upadla zaščitenost od cepljenja, in vsi se ne bodo takoj cepili s 3. odmerkom – takrat lahko to spet naraste.



sobota 6.11.2021
Povzetek dnevne analize:
epidemija raste, a rast se upočasnjuje in v drugem tednu novembra bo verjetno vrh, v 2. polovici novembra lahko nov porast
vreme je pokazalo veliko več moči od pričakovanega, morda je v igri tudi katera od AY podvariant delte
R=1.15, vreme/šole/službe/univerze ga povečujejo, sprotna imunizacja deluje v nasprotno smer
bazen dovzetnih majhen (slabih 20% populacije), a zaradi popuščanja zaščite po cepljenju lahko precej večji od tega
povprečje javljenih primerov zadnjih 7 dni je 2779 (vmesni max je bil 17.9. pri 1045), NIJZ s korekcijami za nazaj 2766
1/0 SLO/EU zelenih občin, 1/0/0 občin (Kobilje) brez primerov že vsaj 1/2/4 tedne
dosežena splošna skupna imunost (upoštevani prekuženost in precepljenost, ter njun presek): 80.7% (popuščanje zaščite ni zajeto)
dosežena imunost starostnih skupin: 60-64: 94%, 65-69: 98%, 70-74: 100%, 75-79: 100%, 80-84: 100%, 85-89: 100%; 90+: 100%
rast števila novih sprejemov v bolnišnice se po kratkem platoju nadaljuje, je že okoli 95/dan, smrti so imele prvi vrh 24.9. pri 6/dan, po 14.10. so nenavadno porasle
napoved okužb (tekoče 7d povprečje): imeli smo vmesni vrh 14.9. pri povprečno 1045 primerih dnevno, zdaj gremo ponovno čez, verjetno še kakšen dan rasti z max 7dAvg okoli 3000
napoved hospitaliziranih: kot kaže je imel prvi vrh plato pri dobrih 400, zdaj je število pričelo spet rasti, verjetno bo šlo do okoli 900-1000
napoved ICU: okoli 19.11. pri okoli 220
napoved umrlih: 800-1000 (366 od tega jih je že bilo), po 4. valu skupno okoli 5400
napoved izpolnitve kriterijev za EU-rdečo: februar 2022
pred delto sta najbolje zaščiteni Koroška in Pomurska, najslabše Obalno-kraška (15% slabše!) … zelo v skladu s tem se v 4. valu gibajo incidence primerov!!

Z epidemiološkim modelom v aplikaciji covidSLO poskušam modelirati situacijo, ko nam R zaradi počitnic postopoma pade za neko vrednost, z zamikom dveh tednov pa se po koncu njih vrne za nekaj manjšo vrednost nazaj navzgor. Nazaj nekaj manj, ker se bo vmes bazen dovzetnih še nekoliko zmanjšal. Poleg tega modeliram tudi novoletni porast R za 0.15 in potem še njegov padec nazaj za istih 0.15. Štartam s trenutno izmerjenim R. Koliko se bo dejansko stanje v resnici ujemalo s to projekcijo, bo povedalo dejansko stanje, ne projekcija.


Rast po vseh regijah in vseh starostnih skupinah se počasi umirja. Povzročitelj te rasti je vplival na vse naenkrat, vzroka se ne da starostno ali geografsko zamejiti.

Smo na rekordnih vrednostih novih primerov dnevno. Delež pozitivnih je že nekaj časa rekorden. Laboratoriji bodo tokrat očitno zmogli več od povprečno 7-8000 PCR testov dnevno! Bravo!


Tempo rasti se upočasnjuje, R pada. Vprašanje je, do kam in v kolikšnem času bo uspel pasti. Če pade pod 1, bomo imeli padajočo epidemijo. Upanje, da bi se to lahko zgodilo proti koncu tega tedna, in bi potem imeli padanje okužb, je žal izpuhtelo. Kot sem rekel, itak nisem bil prevelik optimist glede tega. Vrh okužb se sedaj kaže v drugem tednu novembra.

Vreme (rumena krivulja) v povprečju vse bolj deluje v smeri povečevanja R (pričakovano) …

Hospitalizacije ponovno naraščajo, verjetno vsaj do 900-1000.
Povprečno dnevno število umrlih je bilo po prvem vrhu pri 6.5/dan v zadnjem tednu septembra in v prvem tednu oktobra okoli 5/dan, potem pa v drugem tednu oktobra celo 3.5/dan. Nato je še pred pričetkom ponovne rasti sprejemov pričelo naraščati in zdaj se bližamo že povprečju 9/dan. Vzrok za tak porast ni jasen, verjetno gre za neko statistično prekladanje podatkov med NIJZ in MZ, ali pa morda za preventivno čuvanje ICU postelj (delež ICU pada), ne vem.
Zdaj se bo zaradi rasti epidemije dvignilo tudi dnevno število umrlih. Predvidevam, da na nekje največ do povprečnega nivoja 15-20/dan, zaradi težkih razmer v bolnišnicah zelo verjetno tudi do 25 ali celo 30. Rizične skupine so zdaj res dobro imunizirane, popušča pa zaščita po cepljenju tistim prvim cepljenim v prvih letošnjih mesecih – teh je baje zato zdaj že kar nekaj v bolnišnicah, čeprav pogled okužbpo starostnih skupinah pokaže, da recimo skupina 85+ ni nič kaj “podivjala”. Kar nekaj je tudi imunsko oslabljenih bolnikov.
Število smrti men neimunimi v 4. valu so že dolgo vnaprej določene za 500-700, a popuščanje zaščite in imunokompromitirani tu niso bili všteti. Kasneje po novem letu bo še bolj upadla zaščitenost od cepljenja, in vsi se ne bodo takoj cepili s 3. odmerkom – takrat lahko to spet naraste.









Rast v starostnih skupinah se počasi upočasnjuje – tendenca R k zniževanju. Simbolni krogi delajo elipsasto pot desno (incidenca še raste) v smeri urinega kazalca navzdol k nižjim R (tempo rasti se niža).
Skupina 85+ nima neke posebne rasti, ki bi jo lahko pripisali popuščanju zaščite od cepljenja.


Na spodnjem diagramu celotnega poteka epidemije po starostnih skupinah je lepo vidno, kako je cepljenje v višjih starostnih skupinah preprečilo ponovitev lanske grozljive porazdelitve okužb, ki je imela za posledico veliko hospitalizacij in tudi smrti …

petek 5.11.2021
Povzetek dnevne analize:
epidemija raste, a rast se upočasnjuje in v drugem tednu novembra bo overjetno vrh, v 2. polovici novembra lahko nov porast
vreme je pokazalo veliko več moči od pričakovanega, morda je v igri tudi katera od AY podvariant delte
R=1.19, vreme/šole/službe/univerze ga povečujejo, sprotna imunizacja deluje v nasprotno smer
bazen dovzetnih majhen (slabih 20% populacije), a zaradi popuščanja zaščite po cepljenju lahko precej večji od tega
povprečje javljenih primerov zadnjih 7 dni je 2683 (vmesni max je bil 17.9. pri 1045), NIJZ s korekcijami za nazaj 2671
1/0 SLO/EU zelenih občin (Luče), 1/0/0 občin (Kobilje) brez primerov že vsaj 1/2/4 tedne
dosežena splošna skupna imunost (upoštevani prekuženost in precepljenost, ter njun presek): 80.7% (popuščanje zaščite ni zajeto)
dosežena imunost starostnih skupin: 60-64: 94%, 65-69: 98%, 70-74: 100%, 75-79: 100%, 80-84: 100%, 85-89: 100%; 90+: 99%
rast števila novih sprejemov v bolnišnice se po kratkem platoju nadaljuje, je že okoli 95/dan, smrti so imele prvi vrh 24.9. pri 6/dan, po 14.10. so nenavadno porasle
napoved okužb (tekoče 7d povprečje): imeli smo vmesni vrh 14.9. pri povprečno 1045 primerih dnevno, zdaj gremo ponovno čez, verjetno še kakšen dan rasti z max 7dAvg okoli 3000
napoved hospitaliziranih: kot kaže je imel prvi vrh plato pri dobrih 400, zdaj je število pričelo spet rasti, verjetno bo šlo do okoli 900-1000
napoved ICU: okoli 19.11. pri okoli 220
napoved umrlih: 800-1000 (366 od tega jih je že bilo), po 4. valu skupno okoli 5400
napoved izpolnitve kriterijev za EU-rdečo: februar 2021
pred delto sta najbolje zaščiteni Koroška in Pomurska, najslabše Obalno-kraška (15% slabše!) … zelo v skladu s tem se v 4. valu gibajo incidence primerov!!

Z epidemiološkim modelom v aplikaciji covidSLO poskušam modelirati situacijo, ko nam R zaradi počitnic postopoma pade za neko vrednost, z zamikom dveh tednov pa se po koncu njih vrne za nekaj manjšo vrednost nazaj navzgor. Nazaj nekaj manj, ker se bo vmes bazen dovzetnih še nekoliko zmanjšal. Poleg tega modeliram tudi novoletni porast R za 0.15 in potem še njegov padec nazaj za istih 0.15. Štartam s trenutno izmerjenim R. Koliko se bo dejansko stanje v resnici ujemalo s to projekcijo, bo povedalo dejansko stanje, ne projekcija.


Rast po vseh regijah in vseh starostnih skupinah se počasi umirja. Povzročitelj te rasti je vplival na vse naenkrat, vzroka se ne da starostno ali geografsko zamejiti.

Smo na rekordnih vrednostih novih primerov dnevno. Delež pozitivnih je že nekaj časa rekorden. Bodo laboratoriji tokrat zmogli več od povprečno 7-8000 PCR testov dnevno? Upam, da ja, ker sicer bomo spet 2 tedna tavali v temi, tako kot pred enim letom. 3.11.2021 opravljenih preko 10k PCR testov! Pri številu opravljenih PCR testov se od 29.10. opaža neke vrste plato …


Tempo rasti se upočasnjuje, R pada. Vprašanje je, do kam in v kolikšnem času bo uspel pasti. Če pade pod 1, bomo imeli padajočo epidemijo. Upanje, da bi se to lahko zgodilo proti koncu tega tedna, in bi potem imeli padanje okužb, je žal izpuhtelo. Kot sem rekel, itak nisem bil prevelik optimist glede tega. Vrh okužb se sedaj kaže v drugem tednu novembra.

Vreme (rumena krivulja) v povprečju vse bolj deluje v smeri povečevanja R (pričakovano) …

Hospitalizacije ponovno naraščajo, verjetno vsaj do 900-1000.
Povprečno dnevno število umrlih je bilo po prvem vrhu pri 6.5/dan v zadnjem tednu septembra in v prvem tednu oktobra okoli 5/dan, potem pa v drugem tednu oktobra celo 3.5/dan. Nato je še pred pričetkom ponovne rasti sprejemov pričelo naraščati in zdaj se bližamo že povprečju 9/dan. Vzrok za tak porast ni jasen, verjetno gre za neko statistično prekladanje podatkov med NIJZ in MZ, ali pa morda za preventivno čuvanje ICU postelj (delež ICU pada), ne vem.
Zdaj se bo zaradi rasti epidemije dvignilo tudi dnevno število umrlih. Predvidevam, da na nekje največ do povprečnega nivoja 15-20/dan, zaradi težkih razmer v bolnišnicah zelo verjetno tudi do 25 ali celo 30. Rizične skupine so zdaj res dobro imunizirane, popušča pa zaščita po cepljenju tistim prvim cepljenim v prvih letošnjih mesecih – teh je baje zato zdaj že kar nekaj v bolnišnicah, čeprav pogled okužbpo starostnih skupinah pokaže, da recimo skupina 85+ ni nič kaj “podivjala”. Kar nekaj je tudi imunsko oslabljenih bolnikov.
Število smrti men neimunimi v 4. valu so že dolgo vnaprej določene za 500-700, a popuščanje zaščite in imunokompromitirani tu niso bili všteti. Kasneje po novem letu bo še bolj upadla zaščitenost od cepljenja, in vsi se ne bodo takoj cepili s 3. odmerkom – takrat lahko to spet naraste.









Rast v starostnih skupinah se počasi upočasnjuje – tendenca R k zniževanju. Simbolni krogi delajo elipsasto pot desno (incidenca še raste) v smeri urinega kazalca navzdol k nižjim R (tempo rasti se niža).
Skupina 85+ nima neke posebne rasti, ki bi jo lahko pripisali popuščanju zaščite od cepljenja.

Če zaradi posebnosti izločimo skupino 15-24 let, in opazujemo ostale skupine skupaj, opazimo še vedno močno rast, a se tudi ta znižuje …


Na spodnjem diagramu celotnega poteka epidemije po starostnih skupinah je lepo vidno, kako je cepljenje v višjih starostnih skupinah preprečilo ponovitev lanske grozljive porazdelitve okužb, ki je imela za posledico veliko hospitalizacij in tudi smrti …

četrtek 4.11.2021
Povzetek dnevne analize:
danes višje število primerov, ker so zajeti še tisti od praznika 1.11., v resnici nič posebnega
epidemija raste, a rast se upočasnjuje in v začetku novembra je nekaj malega upanja na padanje, v 2. polovici novembra lahko nov porast
vreme je pokazalo veliko več moči od pričakovanega, morda je v igri tudi katera od AY podvariant delte
R=1.23, vreme/šole/službe/univerze ga povečujejo, sprotna imunizacja deluje v nasprotno smer
bazen dovzetnih majhen (okoli 20% populacije), a zaradi popuščanja zaščite po cepljenju lahko precej večji od tega
povprečje javljenih primerov zadnjih 7 dni je 2502 (vmesni max je bil 17.9. pri 1045), NIJZ s korekcijami za nazaj 2491
0/0 SLO/EU zelenih občin, 0/0/0 občin brez primerov že vsaj 1/2/4 tedne
dosežena splošna skupna imunost (upoštevani prekuženost in precepljenost, ter njun presek): 80.5% (popuščanje zaščite ni zajeto)
dosežena imunost starostnih skupin: 60-64: 94%, 65-69: 98%, 70-74: 100%, 75-79: 100%, 80-84: 100%, 85-89: 100%; 90+: 99%
rast števila novih sprejemov v bolnišnice se po kratkem platoju nadaljuje, je že okoli 95/dan, smrti so imele prvi vrh 24.9. pri 6/dan, po 14.10. so nenavadno porasle
napoved okužb (tekoče 7d povprečje): imeli smo vmesni vrh 14.9. pri povprečno 1045 primerih dnevno, zdaj gremo ponovno čez, verjetno še kakšen dan rasti z max 7dAvg okoli 2600
napoved hospitaliziranih: kot kaže je imel prvi vrh plato pri dobrih 400, zdaj je število pričelo spet rasti, verjetno bo šlo do okoli 900-1000
napoved ICU: okoli 19.11. pri okoli 220
napoved umrlih: 800-1000 (366 od tega jih je že bilo), po 4. valu skupno okoli 5400
napoved izpolnitve kriterijev za EU-rdečo: februar 2021
pred delto sta najbolje zaščiteni Koroška in Pomurska, najslabše Obalno-kraška (15% slabše!) … zelo v skladu s tem se v 4. valu gibajo incidence primerov!!


Z epidemiološkim modelom v aplikaciji covidSLO poskušam modelirati situacijo, ko nam R zaradi počitnic postopoma pade za neko vrednost, z zamikom dveh tednov pa se po koncu njih vrne za nekaj manjšo vrednost nazaj navzgor. Nazaj nekaj manj, ker se bo vmes bazen dovzetnih še nekoliko zmanjšal. Poleg tega modeliram tudi novoletni porast R za 0.15 in potem še njegov padec nazaj za istih 0.15. Štartam s trenutno izmerjenim R. Koliko se bo dejansko stanje v resnici ujemalo s to projekcijo, bo povedalo dejansko stanje, ne projekcija.


Rast po vseh regijah in vseh starostnih skupinah se počasi umirja. Povzročitelj te rasti je vplival na vse naenkrat, vzroka se ne da starostno ali geografsko zamejiti.






Smo na rekordnih vrednostih novih primerov dnevno. Delež pozitivnih je že nekaj časa rekorden. Bodo laboratoriji tokrat zmogli več od povprečno 7-8000 PCR testov dnevno? Upam, da ja, ker sicer bomo spet 2 tedna tavali v temi, tako kot pred enim letom. 3.11.2021 opravljenih preko 10k PCR testov! Pri številu opravljenih PCR testov se od 29.10. opaža neke vrste plato …


Tempo rasti se upočasnjuje, R pada. Vprašanje je, do kam in v kolikšnem času bo uspel pasti. Če pade pod 1, bomo imeli padajočo epidemijo. Upanje je, da bi se to lahko zgodilo proti koncu tedna in bi v potem imeli padanje. A roko na srce nisem prevelik optimist glede tega, sploh ko pogledam krivuljo medtedenskih razmerij deležev pozitivnih, in pa novi sunek navzgor zaradi vremena.

Vreme (rumena krivulja) v povprečju vse bolj deluje v smeri povečevanja R (pričakovano) …

Hospitalizacije ponovno naraščajo, verjetno vsaj do 900-1000.
Povprečno dnevno število umrlih je bilo po prvem vrhu pri 6.5/dan v zadnjem tednu septembra in v prvem tednu oktobra okoli 5/dan, potem pa v drugem tednu oktobra celo 3.5/dan. Nato je še pred pričetkom ponovne rasti sprejemov pričelo naraščati in zdaj se bližamo že povprečju 9/dan. Vzrok za tak porast ni jasen, verjetno gre za neko statistično prekladanje podatkov med NIJZ in MZ, ali pa morda za preventivno čuvanje ICU postelj (delež ICU pada), ne vem.
Zdaj se bo zaradi rasti epidemije dvignilo tudi dnevno število umrlih. Predvidevam, da na nekje največ do povprečnega nivoja 15-20/dan, zaradi težkih razmer v bolnišnicah zelo verjetno tudi do 25 ali celo 30. Rizične skupine so zdaj res dobro imunizirane, popušča pa zaščita po cepljenju tistim prvim cepljenim v prvih letošnjih mesecih – teh je baje zato zdaj že kar nekaj v bolnišnicah, čeprav pogled okužbpo starostnih skupinah pokaže, da recimo skupina 85+ ni nič kaj “podivjala”. Kar nekaj je tudi imunsko oslabljenih bolnikov.
Število smrti men neimunimi v 4. valu so že dolgo vnaprej določene za 500-700, a popuščanje zaščite in imunokompromitirani tu niso bili všteti. Kasneje po novem letu bo še bolj upadla zaščitenost od cepljenja, in vsi se ne bodo takoj cepili s 3. odmerkom – takrat lahko to spet naraste.









Rast v starostnih skupinah se umirja, ker je vidno po tem, da je R(3d) manjši od R(7d) – tendenca R k zniževanju. Simbolni krogi delajo elipsasto pot desno (incidenca še raste) v smeri urinega kazalca navzdol k nižjim R (tempo rasti se niža). Najbolj se niža v skupini 15-24 let.
Skupina 85+ nima neke posebne rasti, ki bi jo lahko pripisali popuščanju zaščite od cepljenja.
Koliko zdaj drži to, o čemer sem govoril od konca oktobra – da so namreč skupini 15-24 let pri poti navzdol k nižji rasti s 5 dnevi zamika pričele slediti tudi ostale starostne skupine, bomo videli v nekaj naslednjih dneh. Glede tega je praznik 1.11. delno zameglil situacijo. Upajmo, da ta trend zdrži, ker potem bi lahko resno upali, da se bo v konec tedna epidemija prevesila v padanje.

Če zaradi posebnosti izločimo skupino 15-24 let, in opazujemo ostale skupine skupaj, opazimo še vedno močno rast, a se tudi ta znižuje …


Na spodnjem diagramu celotnega poteka epidemije po starostnih skupinah je lepo vidno, kako je cepljenje v višjih starostnih skupinah preprečilo ponovitev lanske grozljive porazdelitve okužb, ki je imela za posledico veliko hospitalizacij in tudi smrti …

sreda 3.11.2021
Povzetek dnevne analize:
epidemija raste, a rast se upočasnjuje in v začetku novembra je nekaj malega upanja na padanje, v 2. polovici novembra lahko nov porast
vreme je pokazalo veliko več moči od pričakovanega, morda je v igri tudi katera od AY podvariant delte
R=1.22, vreme/šole/službe/univerze ga povečujejo, sprotna imunizacja deluje v nasprotno smer
bazen dovzetnih majhen (okoli 20% populacije), a zaradi popuščanja zaščite po cepljenju lahko precej večji od tega
povprečje javljenih primerov zadnjih 7 dni je 2234 (vmesni max je bil 17.9. pri 1045), NIJZ s korekcijami za nazaj 2223
1/0 SLO/EU zelenih občin
1/0/0 občin brez primerov že vsaj 1/2/4 tedne, Hodoš 27.10. po 140 dneh spet dobil en nov primer
dosežena splošna skupna imunost (upoštevani prekuženost in precepljenost, ter njun presek): 80.2% (popuščanje zaščite ni zajeto)
dosežena imunost starostnih skupin: 60-64: 94%, 65-69: 98%, 70-74: 100%, 75-79: 100%, 80-84: 100%, 85-89: 100%; 90+: 99%
rast števila novih sprejemov v bolnišnice se po kratkem platoju nadaljuje, je že okoli 85/dan, smrti so imele prvi vrh 24.9. pri 6/dan, po 14.10. so nenavadno porasle
napoved okužb (tekoče 7d povprečje): smo že čez vmesni vrh, ki je bil 14.9. pri povprečno 1045 primerih dnevno, zdaj gremo ponovno čez, verjetno še par dni rasti z max 7dAvg okoli 2500
napoved hospitaliziranih: kot kaže je imel prvi vrh plato pri dobrih 400, zdaj je število pričelo spet rasti, verjetno bo šlo do okoli 900
napoved ICU: okoli 17.11. pri okoli 205
napoved umrlih: 700-900 (358 od tega jih je že bilo), po 4. valu skupno okoli 5200-5300
napoved izpolnitve kriterijev za EU-rdečo: februar 2021
pred delto sta najbolje zaščiteni Koroška in Pomurska, najslabše Obalno-kraška (15% slabše!) … zelo v skladu s tem se v 4. valu gibajo incidence primerov!!


Z epidemiološkim modelom v aplikaciji covidSLO poskušam modelirati situacijo, ko nam R zaradi počitnic postopoma pade za neko vrednost, z zamikom dveh tednov pa se po koncu njih vrne za nekaj manjšo vrednost nazaj navzgor. Nazaj nekaj manj, ker se bo vmes bazen dovzetnih še nekoliko zmanjšal. Poleg tega modeliram tudi novoletni porast R za 0.15 in potem še njegov padec nazaj za istih 0.15. Štartam s trenutno izmerjenim R. Koliko se bo dejansko stanje v resnici ujemalo s to projekcijo, bo povedalo dejansko stanje, ne projekcija.


Rast po vseh regijah in vseh starostnih skupinah se počasi umirja. Povzročitelj te rasti je vplival na vse naenkrat, vzroka se ne da starostno ali geografsko zamejiti.




Smo na rekordnih vrednostih novih primerov dnevno. Delež pozitivnih je že nekaj časa rekorden. Bodo laboratoriji tokrat zmogli več od povprečno 7-8000 PCR testov dnevno? Upam, da ja, ker sicer bomo spet 2 tedna tavali v temi, tako kot pred enim letom. Pri številu opravljenih PCR testov se od 29.10. opaža neke vrste plato …


Tempo rasti se upočasnjuje, R pada. Vprašanje je, do kam bo uspel pasti. Če pade pod 1, bomo imeli padajočo epidemijo. Upanje je, da bi se to lahko zgodilo proti koncu tedna in bi v potem imeli padanje. A roko na srce nisem prevelik optimist glede tega, sploh ko pogledam krivuljo medtedenskih razmerij deležev pozitivnih, in pa novi sunek navzgor zaradi vremena.

Vreme (rumena krivulja) vse bolj deluje v smeri povečevanja R (pričakovano) …

Hospitalizacije ponovno naraščajo, verjetno vsaj do 900.
Povprečno dnevno število umrlih je bilo po prvem vrhu pri 6.5/dan v zadnjem tednu septembra in v prvem tednu oktobra okoli 5/dan, potem pa v drugem tednu oktobra celo 3.5/dan. Nato je še pred pričetkom ponovne rasti sprejemov pričelo naraščati in zdaj se bližamo že povprečju 9/dan. Vzrok za tak porast ni jasen, verjetno gre za neko statistično prekladanje podatkov med NIJZ in MZ, ali pa morda za preventivno čuvanje ICU postelj (delež ICU pada), ne vem.
Zdaj se bo zaradi rasti epidemije dvignilo tudi dnevno število umrlih. Predvidevam, da na nekje največ do povprečnega nivoja 15-20/dan, lahko tudi nekaj čez. Rizične skupine so zdaj res dobro imunizirane, popušča pa zaščita po cepljenju tistim prvim cepljenim v prvih letošnjih mesecih – teh je baje zato zdaj že kar nekaj v bolnišnicah, čeprav pogled okužbpo starostnih skupinah pokaže, da recimo skupina 85+ ni nič kaj “podivjala”. Kar nekaj je tudi imunsko oslabljenih bolnikov.
Število smrti men neimunimi v 4. valu so že dolgo vnaprej določene za 500-700, a popuščanje zaščite in imunokompromitirani tu niso bili všteti. Kasneje po novem letu bo še bolj upadla zaščitenost od cepljenja, in vsi se ne bodo takoj cepili s 3. odmerkom – takrat lahko to spet malce naraste.









Rast v starostnih skupinah se umirja, ker je vidno po tem, da je R(3d) manjši od R(7d) – tendenca R k zniževanju. Simbolni krogi delajo elipsasto pot desno (incidenca še raste) v smeri urinega kazalca navzdol k nižjim R (tempo rasti se niža). Najbolj se niža v skupini 15-24 let.
Skupina 85+ nima neke posebne rasti, ki bi jo lahko pripisali popuščanju zaščite od cepljenja.
Koliko zdaj drži to, o čemer sem govoril od konca oktobra – da so namreč skupini 15-24 let pri poti navzdol k nižji rasti s 5 dnevi zamika pričele slediti tudi ostale starostne skupine, bomo videli v nekaj naslednjih dneh. Glede tega je praznik 1.11. delno zameglil situacijo. Upajmo, da ta trend zdrži, ker potem bi lahko resno upali, da se bo v drugi polovici tedna epidemija prevesila v padanje.

Če zaradi posebnosti izločimo skupino 15-24 let, in opazujemo ostale skupine skupaj, opazimo še vedno močno rast, a se tudi ta znižuje …


Na spodnjem diagramu celotnega poteka epidemije po starostnih skupinah je lepo vidno, kako je cepljenje v višjih starostnih skupinah preprečilo ponovitev lanske grozljive porazdelitve okužb, ki je imela za posledico veliko hospitalizacij in tudi smrti …

torek 2.11.2021
Povzetek dnevne analize:
epidemija raste, a rast se upočasnjuje in v začetku novembra je nekaj malega upanja na padanje, v 2. polovici novembra lahko nov porast
vreme je pokazalo veliko več moči od pričakovanega, morda je v igri tudi katera od AY podvariant delte
R=1.25, vreme/šole/službe/univerze ga povečujejo, sprotna imunizacja deluje v nasprotno smer
bazen dovzetnih majhen (okoli 20% populacije), a zaradi popuščanja zaščite po cepljenju lahko precej večji od tega
povprečje javljenih primerov zadnjih 7 dni je 2192 (vmesni max je bil 17.9. pri 1045), NIJZ s korekcijami za nazaj 2177
1/0 SLO/EU zelenih občin
1/0/0 občin brez primerov že vsaj 1/2/4 tedne, Hodoš 27.10. po 140 dneh spet dobil en nov primer
dosežena splošna skupna imunost (upoštevani prekuženost in precepljenost, ter njun presek): 80.0% (popuščanje zaščite ni zajeto)
dosežena imunost starostnih skupin: 60-64: 94%, 65-69: 97%, 70-74: 100%, 75-79: 100%, 80-84: 100%, 85-89: 99%
rast števila novih sprejemov v bolnišnice se po kratkem platoju pospešeno nadaljuje, je že okoli 80/dan, smrti so imele prvi vrh 24.9. pri 6/dan, po 14.10. so nenavadno porasle
napoved okužb (tekoče 7d povprečje): smo že čez vmesni vrh, ki je bil 14.9. pri povprečno 1045 primerih dnevno, zdaj gremo ponovno čez, verjetno še par dni rasti z max 7dAvg okoli 2500
napoved hospitaliziranih: kot kaže je imel prvi vrh plato pri dobrih 400, zdaj je število pričelo spet rasti, verjetno bo šlo do okoli 900
napoved ICU: okoli 13.11. pri okoli 200
napoved umrlih: 700-900 (340 od tega jih je že bilo), po 4. valu skupno okoli 5200-5300
napoved izpolnitve kriterijev za EU-rdečo: februar 2021
pred delto sta najbolje zaščiteni Koroška in Pomurska, najslabše Obalno-kraška (15% slabše!) … zelo v skladu s tem se v 4. valu gibajo incidence primerov!!


Z epidemiološkim modelom v aplikaciji covidSLO poskušam modelirati situacijo, ko nam R zaradi počitnic postopoma pade za neko vrednost, z zamikom dveh tednov pa se po koncu njih vrne za nekaj manjšo vrednost nazaj navzgor. Nazaj nekaj manj, ker se bo vmes bazen dovzetnih še nekoliko zmanjšal. Poleg tega modeliram tudi novoletni porast R za 0.15 in potem še njegov padec nazaj za istih 0.15. Štartam s trenutno izmerjenim R. Koliko se bo dejansko stanje v resnici ujemalo s to projekcijo, bo povedalo dejansko stanje, ne projekcija.


Rast po vseh regijah in vseh starostnih skupinah se počasi umirja. Povzročitelj te rasti je vplival na vse naenkrat, vzroka se ne da starostno ali geografsko zamejiti.






Tempo rasti se upočasnjuje, R pada. Vprašanje je, do kam bo uspel pasti. Če pade pod 1, bomo imeli padajočo epidemijo. Upanje je, da bi se to lahko zgodilo proti koncu tedna in bi v potem imeli padanje. A roko na srce nisem prevelik optimist glede tega, sploh ko pogledam krivuljo medtedenskih razmerij deležev pozitivnih, in pa novi sunek navzgor zaradi vremena.

Vreme (rumena krivulja) vse bolj deluje v smeri povečevanja R (pričakovano) …

Hospitalizacije ponovno naraščajo, verjetno vsaj do 900.
Povprečno dnevno število umrlih je bilo po prvem vrhu pri 6.5/dan v zadnjem tednu septembra in v prvem tednu oktobra okoli 5/dan, potem pa v drugem tednu oktobra celo 3.5/dan. Nato je še pred pričetkom ponovne rasti sprejemov pričelo naraščati in zdaj se bližamo že povprečju 9/dan. Vzrok za tak porast ni jasen, verjetno gre za neko statistično prekladanje podatkov med NIJZ in MZ, ali pa morda za preventivno čuvanje ICU postelj (delež ICU pada), ne vem.
Zdaj se bo zaradi rasti epidemije dvignilo tudi dnevno število umrlih. Predvidevam, da na nekje največ do povprečnega nivoja 15-20/dan. Rizične skupine so zdaj res dobro imunizirane, popušča pa zaščita po cepljenju tistim prvim cepljenim v prvih letošnjih mesecih – teh je baje zato zdaj že kar nekaj v bolnišnicah, čeprav pogled okužbpo starostnih skupinah pokaže, da recimo skupina 85+ ni nič kaj “podivjala”. Kar nekaj je tudi imunsko oslabljenih bolnikov.
Število smrti v 4. valu so že dolgo vnaprej določene za 500-700, a popuščanje zaščite in imunokompromitirani tu niso bili všteti. Kasneje po novem letu bo še bolj upadla zaščitenost od cepljenja, in vsi se ne bodo takoj cepili s 3. odmerkom – takrat lahko to spet malce naraste.









Rast v starostnih skupinah se umirja, ker je vidno po tem, da je R(3d) manjši od R(7d) – tendenca R k zniževanju. Simbolni krogi delajo elipsasto pot desno (incidenca še raste) v smeri urinega kazalca navzdol k nižjim R (tempo rasti se niža). Najbolj se niža v skupini 15-24 let.
Skupina 85+ nima neke posebne rasti, ki bi jo lahko pripisali popuščanju zaščite od cepljenja.
Koliko zdaj drži to, o čemer sem govoril od konca oktobra – da so namreč skupini 15-24 let pri poti navzdol k nižji rasti s 5 dnevi zamika pričele slediti tudi ostale starostne skupine, bomo videli v nekaj naslednjih dneh. Glede tega je praznik 1.11. delno zameglil situacijo. Upajmo, da ta trend zdrži, ker potem bi lahko resno upali, da se bo v drugi polovici tedna epidemija prevesila v padanje.

Če zaradi posebnosti izločimo skupino 15-24 let, in opazujemo ostale skupine skupaj, opazimo še vedno močno rast, a se tudi ta znižuje …


Na spodnjem diagramu celotnega poteka epidemije po starostnih skupinah je lepo vidno, kako je cepljenje v višjih starostnih skupinah preprečilo ponovitev lanske grozljive porazdelitve okužb, ki je imela za posledico veliko hospitalizacij in tudi smrti …

ponedeljek 1.11.2021
Povzetek dnevne analize:
epidemija raste, a rast se upočasnjuje in v začetku novembra je nekaj malega upanja na padanje, v 2. polovici novembra lahko nov porast
vreme je pokazalo veliko več moči od pričakovanega, morda je v igri tudi katera od AY podvariant delte
R=1.31, vreme/šole/službe/univerze ga povečujejo, sprotna imunizacja deluje v nasprotno smer
bazen dovzetnih majhen (okoli 20% populacije), a zaradi popuščanja zaščite po cepljenju lahko precej večji od tega
povprečje javljenih primerov zadnjih 7 dni je 2358 (vmesni max je bil 17.9. pri 1045), NIJZ s korekcijami za nazaj 2341
0/0 SLO/EU zelenih občin
0/0/0 občin brez primerov že vsaj 1/2/4 tedne, Hodoš 27.10. po 140 dneh spet dobil en nov primer
dosežena splošna skupna imunost (upoštevani prekuženost in precepljenost, ter njun presek): 80.0% (popuščanje zaščite ni zajeto)
dosežena imunost starostnih skupin: 60-64: 94%, 65-69: 97%, 70-74: 100%, 75-79: 100%, 80-84: 100%, 85-89: 99%
rast števila novih sprejemov v bolnišnice se po kratkem platoju pospešeno nadaljuje, je že okoli 80/dan, smrti so imele prvi vrh 24.9. pri 6/dan, po 14.10. so nenavadno porasle
napoved okužb (tekoče 7d povprečje): smo že čez vmesni vrh, ki je bil 14.9. pri povprečno 1164 primerih dnevno, zdaj gremo ponovno čez, verjetno še par dni rasti z max 7dAvg okoli 2500
napoved hospitaliziranih: kot kaže je imel prvi vrh plato pri dobrih 400, zdaj je število pričelo spet rasti, verjetno bo šlo do okoli 900
napoved ICU: okoli 13.11. pri okoli 200
napoved umrlih: 700-900 (320 od tega jih je že bilo), po 4. valu skupno okoli 5200-5300
napoved izpolnitve kriterijev za EU-rdečo: februar 2021
pred delto sta najbolje zaščiteni Koroška in Pomurska, najslabše Obalno-kraška (15% slabše!) … zelo v skladu s tem se v 4. valu gibajo incidence primerov!!
Ob nedeljah je testiranja najmanj, zato so ti podatki najmanj signifikantni. Tudi zadnji dan se tako ni zgodilo nič posebnega. Omembe vredno je morda rahlo povečanje R zaradi sunka zunanjih pogojev, o čemer sem govoril zadnje dni. In pa recimo rekorden delež pozitivnih na PCR testiranjih, kar pa glede na rast epidemije in na vedno najvišje deleže ob nedeljah ni nič presenetljivga. Priporočam branje včerajšnje analize.



nedelja 31.10.2021
Povzetek dnevne analize:
epidemija raste, a rast se upočasnjuje in v začetku novembra je nekaj malega upanja na padanje, v 2. polovici novembra lahko nov porast
vreme je pokazalo veliko več moči od pričakovanega, morda je v igri tudi katera od AY podvariant delte
R=1.30, vreme/šole/službe/univerze ga povečujejo, sprotna imunizacja deluje v nasprotno smer
bazen dovzetnih majhen (okoli 20% populacije), a zaradi popuščanja zaščite po cepljenju lahko precej večji od tega
povprečje javljenih primerov zadnjih 7 dni je 2279 (vmesni max je bil 17.9. pri 1045), NIJZ s korekcijami za nazaj 2263
0/0 SLO/EU zelenih občin
0/0/0 občin brez primerov že vsaj 1/2/4 tedne, Hodoš 27.10. po 140 dneh spet dobil en nov primer
dosežena splošna skupna imunost (upoštevani prekuženost in precepljenost, ter njun presek): 79.9%
dosežena imunost starostnih skupin: 60-64: 94%, 65-69: 97%, 70-74: 100%, 75-79: 100%, 80-84: 100%, 85-89: 99%
rast števila novih sprejemov v bolnišnice se po kratkem platoju pospešeno nadaljuje, je že okoli 80/dan, smrti so imele prvi vrh 24.9. pri 6/dan, po 14.10. so nenavadno porasle
napoved okužb (tekoče 7d povprečje): smo že čez vmesni vrh, ki je bil 14.9. pri povprečno 1164 primerih dnevno, zdaj gremo ponovno čez, verjetno še par dni rasti z max 7dAvg okoli 2500
napoved hospitaliziranih: kot kaže je imel prvi vrh plato pri dobrih 400, zdaj je število pričelo spet rasti, verjetno bo šlo do okoli 900
napoved ICU: okoli 13.11. pri okoli 200
napoved umrlih: 700-900 (320 od tega jih je že bilo), po 4. valu skupno okoli 5200-5300
napoved izpolnitve kriterijev za EU-rdečo: februar 2021
pred delto sta najbolje zaščiteni Koroška in Pomurska, najslabše Obalno-kraška (15% slabše!) … zelo v skladu s tem se v 4. valu gibajo incidence primerov!!


Z epidemiološkim modelom v aplikaciji covidSLO poskušam modelirati situacijo, ko nam R zaradi počitnic postopoma pade za neko vrednost, z zamikom dveh tednov pa se po koncu njih vrne za nekaj manjšo vrednost nazaj navzgor. Nazaj nekaj manj, ker se bo vmes bazen dovzetnih še nekoliko zmanjšal. Poleg tega modeliram tudi novoletni porast R za 0.15 in potem še njegov padec nazaj za istih 0.15. Štartam s trenutno izmerjenim R. Koliko se bo dejansko stanje v resnici ujemalo s to projekcijo, bo povedalo dejansko stanje, ne projekcija.


Rast po vseh regijah in vseh starostnih skupinah se počasi umirja. Povzročitelj te rasti je vplival na vse naenkrat, vzroka se ne da starostno ali geografsko zamejiti.




Smo na rekordnih vrednostih novih primerov dnevno. Delež pozitivnih je že nekaj časa rekorden. Bodo laboratoriji tokrat zmogli več od povprečno 7-8000 PCR testov dnevno? Upam, da ja, ker sicer bomo spet 2 tedna tavali v temi, tako kot pred enim letom. Pri številu opravljenih PCR testov se od 29.10. opaža neke vrste plato …


Tempo rasti se upočasnjuje, R pada. Vprašanje je, do kam bo uspel pasti. Če pade pod 1, bomo imeli padajočo epidemijo. Upanje je, da bi se to lahko zgodilo do sredine prihodnjega tedna in bi v potem imeli padanje. A roko na srce nisem prevelik optimist glede tega, sploh ko pogledam krivuljo medtedenskih razmerij deležev pozitivnih, in pa novi sunek navzgor zaradi vremena.

Vreme (rumena krivulja) vse bolj deluje v smeri povečevanja R (pričakovano) …

Hospitalizacije ponovno naraščajo, verjetno vsaj do 900.
Povprečno dnevno število umrlih je bilo po prvem vrhu pri 6.5/dan v zadnjem tednu septembra in v prvem tednu oktobra okoli 5/dan, potem pa v drugem tednu oktobra celo 3.5/dan. Nato je še pred pričetkom ponovne rasti sprejemov pričelo naraščati in zdaj se bližamo že povprečju 9/dan. Vzrok za tak porast ni jasen, verjetno gre za neko statistično prekladanje podatkov med NIJZ in MZ, ali pa morda za preventivno čuvanje ICU postelj (delež ICU pada), ne vem.
Zdaj se bo zaradi rasti epidemije dvignilo tudi dnevno število umrlih. Predvidevam, da na nekje največ do povprečnega nivoja 15-20/dan. Rizične skupine so zdaj res dobro imunizirane, popušča pa zaščita po cepljenju tistim prvim cepljenim v prvih letošnjih mesecih – teh je baje zato zdaj že kar nekaj v bolnišnicah, čeprav pogled okužbpo starostnih skupinah pokaže, da recimo skupina 85+ ni nič kaj “podivjala”. Kar nekaj je tudi imunokompromitiranih bolnikov.
Število smrti v 4. valu so že dolgo vnaprej določene za 500-700, a popuščanje zaščite in imunokompromitirani tu niso bili všteti. Kasneje po novem letu bo še bolj upadla zaščitenost od cepljenja, in vsi se ne bodo takoj cepili s 3. odmerkom – takrat lahko to spet malce naraste.









Rast v starostnih skupinah se umirja, ker je vidno po tem, da je R(3d) manjši od R(7d) – tendenca R k zniževanju. Simbolni krogi delajo elipsasto pot desno (incidenca še raste) v smeri urinega kazalca navzdol k nižjim R (tempo rasti se niža). Najbolj se niža v skupini 15-24 let.
Skupina 85+ nima neke posebne rasti, ki bi jo lahko pripisali popuščanju zaščite od cepljenja.
Izgleda, da se je začelo dogajati to, o čemer sem govoril včeraj – skupini 15-24 let so pri poti navzdol k nižji rasti s 5 dnevi zamika pričele slediti tudi ostale starostne skupine. Upajmo, da trend zdrži, ker potem bi lahko resno upali, da se bo v drugi polovici tedna epidemija prevesila v padanje.

Če zaradi posebnosti izločimo skupino 15-24 let, in opazujemo ostale skupine skupaj, opazimo še vedno močno rast, a se tudi ta znižuje …


Na spodnjem diagramu celotnega poteka epidemije po starostnih skupinah je lepo vidno, kako je cepljenje v višjih starostnih skupinah preprečilo ponovitev lanske grozljive porazdelitve okužb, ki je imela za posledico veliko hospitalizacij in tudi smrti …

sobota 30.10.2021
Povzetek dnevne analize:
epidemija raste, a rast se upočasnjuje in v začetku novembra je nekaj malega upanja na padanje, v 2. polovici novembra lahko nov porast
vreme je pokazalo veliko več moči od pričakovanega, morda je v igri tudi katera od AY podvariant delte
R=1.33, vreme/šole/službe/univerze ga povečujejo, sprotna imunizacja deluje v nasprotno smer
bazen dovzetnih majhen (okoli 20% populacije), a zaradi popuščanja zaščite po cepljenju lahko precej večji od tega
povprečje javljenih primerov zadnjih 7 dni je 2255 (vmesni max je bil 17.9. pri 1045), NIJZ s korekcijami za nazaj 2240
2/0 SLO/EU zelenih občin
0/0/0 občin brez primerov že vsaj 1/2/4 tedne, Hodoš 27.10. po 140 dneh spet dobil en nov primer
dosežena splošna skupna imunost (upoštevani prekuženost in precepljenost, ter njun presek): 79.9%
dosežena imunost starostnih skupin: 60-64: 94%, 65-69: 97%, 70-74: 100%, 75-79: 100%, 80-84: 100%, 85-89: 99%
rast števila novih sprejemov v bolnišnice se po kratkem platoju pospešeno nadaljuje, je že okoli 80/dan, smrti so imele prvi vrh 24.9. pri 6/dan, zdaj so nenavadno porasle
napoved okužb (tekoče 7d povprečje): smo že čez vmesni vrh, ki je bil 14.9. pri povprečno 1164 primerih dnevno, zdaj gremo ponovno čez, verjetno vsaj še par dni rasti z max 7dAvg okoli 2500-2700
napoved hospitaliziranih: kot kaže je imel prvi vrh plato pri dobrih 400, zdaj je število pričelo spet rasti, verjetno bo šlo do 900-1000
napoved ICU: okoli 10.11. pri okoli 230
napoved umrlih: 700-900 (314 od tega jih je že bilo), po 4. valu skupno okoli 5200-5300
napoved izpolnitve kriterijev za EU-rdečo: februar 2021
pred delto sta najbolje zaščiteni Koroška in Pomurska, najslabše Obalno-kraška (15% slabše!) … zelo v skladu s tem se v 4. valu gibajo incidence primerov!!


Z epidemiološkim modelom v aplikaciji covidSLO poskušam modelirati situacijo, ko nam R zaradi počitnic postopoma pade za neko vrednost, z zamikom dveh tednov pa se po koncu njih vrne za nekaj manjšo vrednost nazaj navzgor. Nazaj nekaj manj, ker se bo vmes bazen dovzetnih še nekoliko zmanjšal. Poleg tega modeliram tudi novoletni porast R za 0.15 in potem še njegov padec nazaj za istih 0.15. Štartam s trenutno izmerjenim R. Koliko se bo dejansko stanje v resnici ujemalo s to projekcijo, bo povedalo dejansko stanje, ne projekcija.
Najprej je tu poskus realne projekcije, ki je morda celo rahlo optimistična, potem pa še bolj pesimistična varianta projekcije.


Tu naprej je še bolj pesimistična projekcija, kjer štartamo z R=1.38, potem padec za 0.25 in dvig nazaj za 0.2.


Rast po vseh regijah in vseh starostnih skupinah se počasi umirja. Povzročitelj te rasti je vplival na vse naenkrat, vzroka se ne da starostno ali geografsko zamejiti.




Smo na rekordnih vrednostih novih primerov dnevno. Delež pozitivnih je že nekaj časa rekorden. Bodo laboratoriji tokrat zmogli več od povprečno 7-8000 PCR testov dnevno? Upam, da ja, ker sicer bomo spet 2 tedna tavali v temi, tako kot pred enim letom.


Tempo rasti se upočasnjuje, R pada. Vprašanje je, do kam bo uspel pasti. Če pade pod 1, bomo imeli padajočo epidemijo. Upanje je, da bi se to lahko zgodilo do sredine prihodnjega tedna in bi v potem imeli padanje. A roko na srce nisem prevelik optimist glede tega, sploh ko pogledam krivuljo medtedenskih razmerij deležev pozitivnih, in pa novi sunek navzgor zaradi vremena.

Vreme (rumena krivulja) vse bolj deluje v smeri povečevanja R (pričakovano) …

Hospitalizacije ponovno naraščajo, verjetno vsaj do 900-1000.
Povprečno dnevno število umrlih je bilo po prvem vrhu pri 6.5/dan v zadnjem tednu septembra in v prvem tednu oktobra okoli 5/dan, potem pa v drugem tednu oktobra celo 3.5/dan. Nato je še pred pričetkom ponovne rasti sprejemov pričelo naraščati in zdaj se bližamo že povprečju 9/dan. Vzrok za tak porast ni jasen, verjetno gre za neko statistično prekladanje podatkov med NIJZ in MZ, ali pa morda za preventivno čuvanje ICU postelj (delež ICU pada), ne vem.
Zdaj se bo zaradi rasti epidemije dvignilo tudi dnevno število umrlih. Predvidevam, da na nekje največ do povprečnega nivoja 15-20/dan. Rizične skupine so zdaj res dobro imunizirane, popušča pa zaščita po cepljenju tistim prvim cepljenim v prvih letošnjih mesecih – teh je baje zato zdaj že kar nekaj v bolnišnicah, čeprav pogled okužbpo starostnih skupinah pokaže, da recimo skupina 85+ ni nič kaj “podivjala”. Kar nekaj je tudi imunokompromitiranih bolnikov.
Število smrti v 4. valu so že dolgo vnaprej določene za 500-700, a popuščanje zaščite in imunokompromitirani tu niso bili všteti. Kasneje po novem letu bo še bolj upadla zaščitenost od cepljenja, in vsi se ne bodo takoj cepili s 3. odmerkom – takrat lahko to spet malce naraste.







Rast v starostnih skupinah se umirja, ker je vidno po tem, da je R(3d) manjši od R(7d) – tendenca R k zniževanju. Simbolni krogi delajo elipsasto pot desno (incidenca še raste) v smeri urinega kazalca navzdol k nižjim R (tempo rasti se niža). Najbolj se niža v skupini 15-24 let.
Skupina 85+ nima neke posebne rasti, ki bi jo lahko pripisali popuščanju zaščite od cepljenja.

Če zaradi posebnosti izločimo skupino 15-24 let, in opazujemo ostale skupine skupaj, opazimo še vedno močno rast …


Na spodnjem diagramu celotnega poteka epidemije po starostnih skupinah je lepo vidno, kako je cepljenje v višjih starostnih skupinah preprečilo ponovitev lanske grozljive porazdelitve okužb, ki je imela za posledico veliko hospitalizacij in tudi smrti …

petek 29.10.2021
Povzetek dnevne analize:
epidemija raste, a rast se upočasnjuje in v začetku novembra je nekaj malega upanja na padanje, v 2. polovici novembra lahko nov porast
vreme je pokazalo veliko več moči od pričakovanega, morda je v igri tudi katera od AY podvariant delte
R=1.34, vreme/šole/službe/univerze ga povečujejo, sprotna imunizacja deluje v nasprotno smer
bazen dovzetnih majhen (okoli 20% populacije), a zaradi popuščanja zaščite po cepljenju lahko precej večji od tega
povprečje javljenih primerov zadnjih 7 dni je 2153 (vmesni max je bil 17.9. pri 1045), NIJZ s korekcijami za nazaj 2138
2/0 SLO/EU zelenih občin
1/0/0 občin brez primerov že vsaj 1/2/4 tedne, Hodoš 27.10. po 140 dneh spet dobil en nov primer
dosežena splošna skupna imunost (upoštevani prekuženost in precepljenost, ter njun presek): 79.7%
dosežena imunost starostnih skupin: 60-64: 94%, 65-69: 97%, 70-74: 100%, 75-79: 100%, 80-84: 100%, 85-89: 99%
rast števila novih sprejemov v bolnišnice se po kratkem platoju pospešeno nadaljuje, je že okoli 80/dan, smrti so imele prvi vrh 24.9. pri 6/dan, zdaj so nenavadno porasle
napoved okužb (tekoče 7d povprečje): smo že čez (prvi) vrh, ki je bil 14.9. pri povprečno 1045 primerih dnevno, zdaj gremo ponovno čez, verjetno vsaj še par dni rasti z max 7dAvg okoli 2300-2500
napoved hospitaliziranih: kot kaže je imel prvi vrh plato pri dobrih 400, zdaj je število pričelo spet rasti, verjetno bo šlo do 900-1000
napoved ICU: okoli 10.11. pri okoli 230
napoved umrlih: 700-900 (305 od tega jih je že bilo), po 4. valu skupno okoli 5200-5300
napoved izpolnitve kriterijev za EU-rdečo: februar 2021
pred delto sta najbolje zaščiteni Koroška in Pomurska, najslabše Obalno-kraška (15% slabše!) … zelo v skladu s tem se v 4. valu gibajo incidence primerov!!


Z epidemiološkim modelom v aplikaciji covidSLO poskušam modelirati situacijo, ko nam R zaradi počitnic postopoma pade za neko vrednost, z zamikom dveh tednov pa se po koncu njih vrne za nekaj manjšo vrednost nazaj navzgor. Nazaj nekaj manj, ker se bo vmes bazen dovzetnih še nekoliko zmanjšal. Poleg tega modeliram tudi novoletni porast R za 0.15 in potem še njegov padec nazaj za istih 0.15. Štartam s trenutno izmerjenim R. Koliko se bo dejansko stanje v resnici ujemalo s to projekcijo, bo povedalo dejansko stanje, ne projekcija.
Najprej je tu poskus realne projekcije, ki je morda celo rahlo optimistična, potem pa še bolj pesimistična varianta projekcije.


Tu naprej je še bolj pesimistična projekcija, kjer štartamo z R=1.4, potem padec za 0.25 in dvig nazaj za 0.2.


Rast po vseh regijah in vseh starostnih skupinah se počasi umirja. Povzročitelj te rasti je vplival na vse naenkrat, vzroka se ne da starostno ali geografsko zamejiti.




Približujemo se rekordnim vrednostim novih primerov dnevno. Delež pozitivnih je že rekorden. Bodo laboratoriji tokrat zmogli več od povprečno 7-8000 PCR testov dnevno? Upam, da ja, ker sicer bomo spet 2 tedna tavali v temi, tako kot pred enim letom.


Tempo rasti se upočasnjuje, R pada. Vprešanje je, do kam bo uspel pasti. Če pade pod 1, bomo imeli padajočo epidemijo. Upanje je, da bi se to lahko zgodilo do sredine prihodnjega tedna in bi v naslednjem tednu imeli padanje. A roko na srce nisem prevelik optimist glede tega.

Vreme (rumena krivulja) vse bolj deluje v smeri povečevanja R (pričakovano) …

Hospitalizacije ponovno naraščajo, verjetno vsaj do 900-1000.
Povprečno dnevno število umrlih je bilo po prvem vrhu pri 6.5/dan v zadnjem tednu septembra in v prvem tednu oktobra okoli 5/dan, potem pa v drugem tednu oktobra celo 3.5/dan. Nato je še pred pričetkom ponovne rasti sprejemov pričelo naraščati in zdaj se bližamo že povprečju 9/dan. Vzrok za tak porast ni jasen, verjetno gre za neko statistično prekladanje podatkov med NIJZ in MZ.
Zdaj se bo zaradi rasti epidemije dvignilo tudi dnevno število umrlih. Predvidevam, da na nekje največ do povprečnega nivoja 15-20/dan. Rizične skupine so zdaj res dobro imunizirane, popušča pa zaščita po cepljenju tistim prvim cepljenim v prvih letošnjih mesecih – teh je baje zato zdaj že kar nekaj v bolnišnicah. Kar nekaj je tudi imunokompromitiranih bolnikov.
Število smrti v 4. valu so že dolgo vnaprej določene za 500-700, a popuščanje zaščite in imunokompromitirani tu niso bili všteti. Kasneje po novem letu bo še bolj upadla zaščitenost od cepljenja, in vsi se ne bodo takoj cepili s 3. odmerkom – takrat lahko to spet malce naraste.







Rast v starostnih skupinah se umirja, ker je vidno po tem, da je R(3d) manjši od R(7d) – tendenca R k zniževanju. Simbolni krogi delajo elipsasto pot desno (incidenca še raste) v smeri urinega kazalca navzdol k nižjim R (tempo rasti se niža). Najbolj se niža v skupini 15-24 let.

Če zaradi posebnosti izločimo skupino 15-24 let, in opazujemo ostale skupine skupaj, opazimo še vedno močno rast …


Na spodnjem diagramu celotnega poteka epidemije po starostnih skupinah je lepo vidno, kako je cepljenje v višjih starostnih skupinah preprečilo ponovitev lanske grozljive porazdelitve okužb, ki je imela za posledico veliko hospitalizacij in tudi smrti …

četrtek 28.10.2021
Povzetek dnevne analize:
epidemija raste, a rast se upočasnjuje in v začetku novembra je nekaj malega upanja na padanje, v 2. polovici novembra lahko nov porast
vreme je pokazalo veliko več moči od pričakovanega, morda je v igri tudi katera od AY podvariant delte
R=1.37, vreme/šole/službe/univerze ga povečujejo, sprotna imunizacja deluje v nasprotno smer, bazen dovzetnih majhen (okoli 20% populacije)
povprečje javljenih primerov zadnjih 7 dni je 2075 (vmesni max je bil 17.9. pri 1045), NIJZ s korekcijami za nazaj 2067
2/0 SLO/EU zelenih občin
1/0/0 občin brez primerov že vsaj 1/2/4 tedne, Hodoš 27.10. po 140 dneh spet dobil en nov primer
dosežena splošna skupna imunost (upoštevani prekuženost in precepljenost, ter njun presek): 79.5%
dosežena imunost starostnih skupin: 60-64: 93%, 65-69: 97%, 70-74: 100%, 75-79: 100%, 80-84: 100%, 85-89: 99%
rast števila novih sprejemov v bolnišnice se po kratkem platoju pospešeno nadaljuje, je že okoli 70/dan, smrti so imele prvi vrh 24.9. pri 6/dan, zdaj so nenavadno porasle
napoved okužb (tekoče 7d povprečje): smo že čez (prvi) vrh, ki je bil 14.9. pri povprečno 1045 primerih dnevno, zdaj gremo ponovno čez, verjetno vsaj še par dni rasti z max 7dAvg okoli 2300-2500
napoved hospitaliziranih: kot kaže je imel prvi vrh plato pri dobrih 400, zdaj je število pričelo spet rasti, verjetno bo šlo do 800-1000
napoved ICU: okoli 10.11. pri okoli 230
napoved umrlih: 600-800 (298 od tega jih je že bilo), po 4. valu skupno okoli 5100-5200
napoved izpolnitve kriterijev za EU-rdečo: februar 2021
pred delto sta najbolje zaščiteni Koroška in Pomurska, najslabše Obalno-kraška (15% slabše!) … zelo v skladu s tem se v 4. valu gibajo incidence primerov!!

Z epidemiološkim modelom v aplikaciji covidSLO poskušam modelirati situacijo, ko nam R zaradi počitnic postopoma pade za 0.4, z zamikom dveh tednov pa se po koncu njih vrne za 0.3 nazaj navzgor. Nazaj nekaj manj, ker se bo vmes bazen dovzetnih še nekoliko zmanjšal. Poleg tega modeliram tudi novoletni porast R za 0.15 in potem še njegov padec nazaj za istih 0.15. Koliko se bo dejansko stanje v resnici ujemalo s to projekcijo, bo povedalo dejansko stanje, ne projekcija.


Vse regije in vse starostne skupine imajo rast. Povzročitelj te rasti je vplival na vse naenkrat, vzroka se ne da starostno ali geografsko zamejiti.




Približujemo se rekordnim vrednostim novih primerov dnevno. Delež pozitivnih je že rekorden. Bodo laboratoriji tokrat zmogli več od povprečno 7-8000 PCR testov dnevno? Upam, da ja, ker sicer bomo spet 2 tedna tavali v temi, tako kot pred enim letom.

Tempo rasti se upočasnjuje, R pada. Vprešanje je, do kam bo uspel pasti. Če pade pod 1, bomo imeli padajočo epidemijo. Upanje je, da bi se to lahko zgodilo konec tega tedna in bi v naslednjem tednu imeli padanje. A roko na srce nisem prevelik optimist glede tega.

Vreme (rumena krivulja) vse bolj deluje v smeri povečevanja R (pričakovano) …

Hospitalizacije ponovno naraščajo, verjetno vsaj do 800-1000.
Povprečno dnevno število umrlih je bilo po prvem vrhu pri 6.5/dan v zadnjem tednu septembra in v prvem tednu oktobra okoli 5/dan, potem pa v drugem tednu oktobra celo 3.5/dan. Nato je še pred pričetkom ponovne rasti sprejemov pričelo naraščati in zdaj se bližamo že povprečju 9/dan. Vzrok za tak porast ni jasen, verjetno gre za neko statistično prekladanje podatkov med NIJZ in MZ. Zdaj se bo zaradi rasti epidemije dvignilo tudi dnevno število umrlih. Predvidevam, da na nekje največ do povprečnega nivoja 15-20/dan. Rizične skupine so zdaj res dobro imunizirane, popušča pa zaščita po cepljenju tistim prvim cepljenim v prvih letošnjih mesecih – teh je baje zato zdaj že kar nekaj v bolnišnicah. Kar nekaj je tudi imunokompromitiranih bolnikov.
Število smrti v 4. valu so že dolgo vnaprej določene za 500-700, a popuščanje zaščite in imunokompromitirani tu niso bili všteti. Kasneje po novem letu bo še bolj upadla zaščitenost od cepljenja, in vsi se ne bodo takoj cepili s 3. odmerkom – takrat lahko to spet malce naraste.







Rast v starostnih skupinah se umirja, ker je vidno po tem, da je R(3d) manjši od R(7d) – tendenca R k zniževanju. Simbolni krogi delajo elipsasto pot desno (incidenca še raste) v smeri urinega kazalca navzdol k nižjim R (tempo rasti se niža). Najbolj se niža v skupini 15-24 let.

Če zaradi posebnosti izločimo skupino 15-24 let, in opazujemo ostale skupine skupaj, opazimo še vedno močno rast …


Na spodnjem diagramu celotnega poteka epidemije po starostnih skupinah je lepo vidno, kako je cepljenje v višjih starostnih skupinah preprečilo ponovitev lanske grozljive porazdelitve okužb, ki je imela za posledico veliko hospitalizacij in tudi smrti …

arhiv analiz: oktober 2021 – september 2021 – avgust 2021 – julij 2021 – junij 2021 – maj 2021 – april 2021 – marec 2021 – februar 2021 – januar 2021 – december 2020 – pred decembrom 2020

